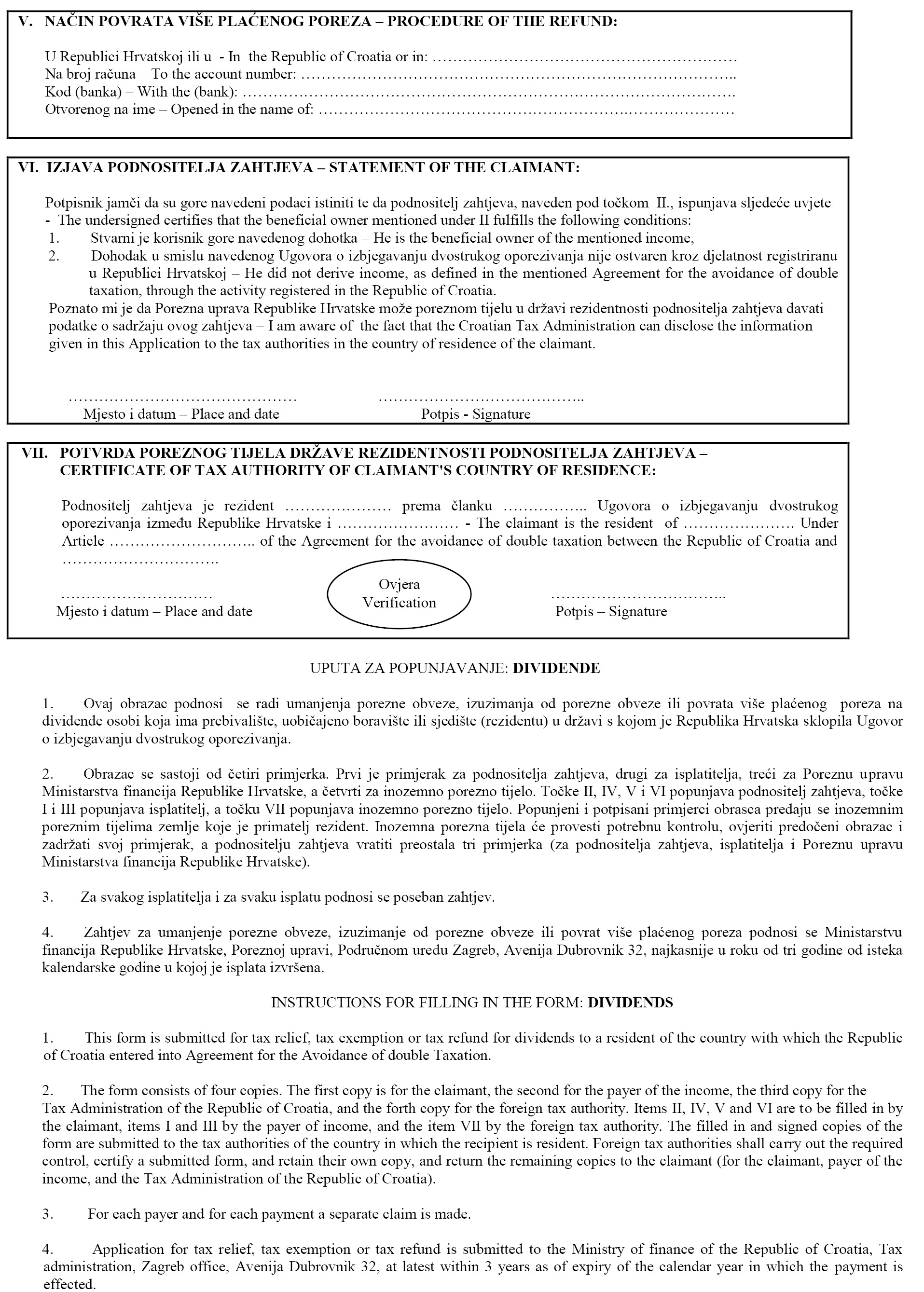
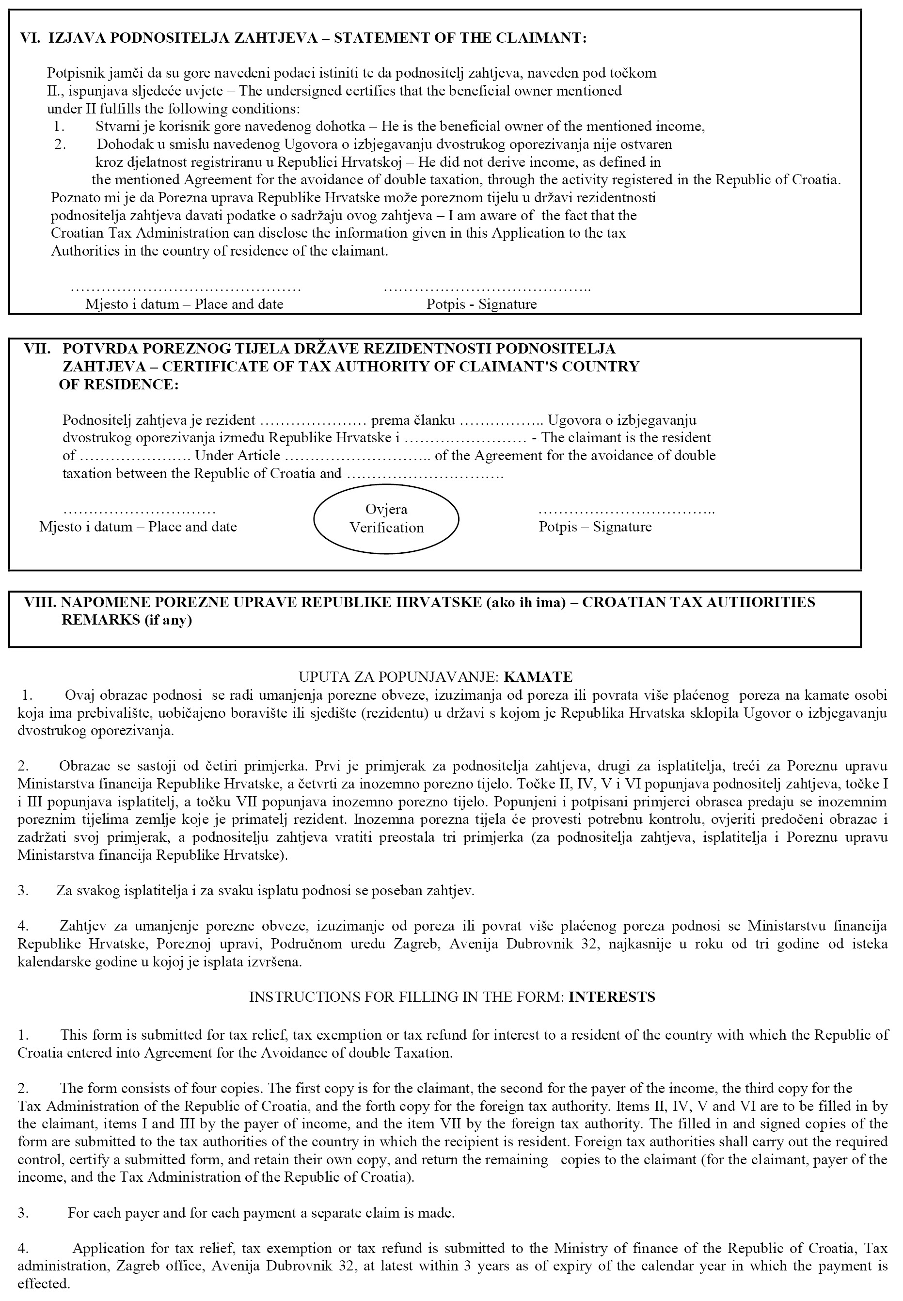
MINISTARSTVO FINANCIJA
3
Na temelju članka 9. stavka 2., članka 25. stavka 7., članka 27. stavaka 2., članka 39. stavka 9., članka 41. stavka 2., članka 63. stavka 2., članka 71. stavka 2., članka 74. stavka 2., članka 85. stavka 6. i članka 86. stavka 2. Zakona o porezu na dohodak (»Narodne novine«, broj 115 /16) i članka 254. Zakona o doprinosima (»Narodne novine«, br. 84/08, 152/08, 94/09, 18/11, 22/12, 144/12, 148/13, 41/14, 143/14 i 115/16) donosim
PRAVILNIK
O POREZU NA DOHODAK
DIO PRVI
TEMELJNE ODREDBE
POGLAVLJE I.
OPĆA ODREDBA
Članak 1.
Ovim se Pravilnikom podrobnije razrađuje provedba Zakona o porezu na dohodak (dalje u tekstu: Zakon) i način izvješćivanja o doprinosima za obvezna osiguranja prema Zakonu o doprinosima.
POGLAVLJE II.
PRIMICI KOJI SE NE SMATRAJU DOHOTKOM
Članak 2.
(1) Prema članku 8. stavku 1. točki 3. Zakona, nagrade koje isplaćuju jedinice lokalne i područne (regionalne) samouprave ne smatraju se dohotkom ako su propisane statutom tih jedinica odnosno općim aktima tih jedinica donesenima na temelju odredbi statuta kojim se te nagrade mogu ustanoviti i isplatiti i ako su sredstva za te namjene planirana u proračunima jedinica lokalne i područne (regionalne) samouprave.
(2) U skladu s člankom 8. stavkom 1. točkom 4. Zakona, dohodak se ne utvrđuje po osnovi primitaka koje fizičke osobe ostvaruju darovanjima u novcu i dobrima dobivenima od pravnih i fizičkih osoba za zdravstvene potrebe, pod propisanim uvjetima i do visine stvarno nastalih izdataka za tu namjenu. Od tih primitaka ne utvrđuje se dohodak pod uvjetima:
– da zdravstvene potrebe koje se financiraju danim darovanjima nisu plaćene iz osnovnog, dopunskog, dodatnog ili privatnoga zdravstvenog osiguranja, niti na teret sredstava fizičke osobe
– da su novčana sredstva (darovanja) isplaćena na žiroračun fizičke osobe primatelja darovanja ili zdravstvene ustanove u tuzemstvu ili u inozemstvu za te svrhe te
– da davatelj i primatelj darovanja o navedenim darovanjima i njihovu korištenju posjeduju vjerodostojne isprave (potvrde o primitku dobara, isprave o izvršenoj doznaci na žiroračun primatelja, račune za izvršene zdravstvene usluge i drugo).
Ako primljena darovanja nisu u cijelosti ili dijelom utrošena za zdravstvene potrebe primatelja, neutrošena novčana sredstva ili vrijednost darovanja smatraju se oporezivim primitkom.
Davatelj darovanja obvezan je voditi evidenciju o danim darovanjima, neovisno u kojem obliku, koja osobito sadrži slijedeće podatke: nadnevak isplate odnosno davanja, ime i prezime primatelja darovanja te njegov OIB, način isplate (na žiroračun primatelja dara ili zdravstvene ustanove ili u dobrima) iznos koji se daruje.
(3) Primici iz članka 8. stavaka 2. i 3. Zakona koji su u svezi s ostvarivanjem dohotka iz članka 5. Zakona, smatraju se oporezivim dohotkom. Primici iz članka 8. stavka 2. točke 1. Zakona smatraju se dohotkom, ako su u svezi s ostvarivanjem dohotka iz članka 5. Zakona i ako se ne isplaćuju po posebnim propisima. Primici po osnovi potpora zbog uništenja i oštećenja imovine zbog elementarnih nepogoda iz članka 8. stavka 2. točke 1. podtočke e) Zakona koje poslodavac i isplatitelj primitaka od nesamostalnog rada isplaćuje radniku i osobi koja kod njega ostvaruje primitke od nesamostalnog rada iz članka 21. Zakona, smatraju se primicima od kojih se utvrđuje dohodak od nesamostalnog rada prema članku 20. Zakona.
(4) Nasljedstva iz članka 8. stavka 2. točke 3. Zakona, a u svezi sa stavkom 4. toga članka, ne smatraju se primicima iz kojih se utvrđuje dohodak ako se isplaćuju iz neoporezivih izvora dohotka, iz primitaka koji se ne smatraju dohotkom odnosno ako je za života ostavitelja iz navedenih primitaka plaćen porez na dohodak.
(5) Darovi iz članka 8. stavka 2. točke 3. Zakona ne smatraju se primicima od kojih se utvrđuje dohodak ako su darovatelj i daroprimatelj fizičke osobe koje ne obavljaju samostalnu djelatnost iz članka 29. Zakona i ako se darovi daju iz primitaka od kojih je plaćen porez na dohodak ili iz primitaka koji se ne smatraju dohotkom.
(6) Porez na dohodak ne plaća se na manjkove na imovini iz članka 7. stavka 1. točke 5. Zakona o porezu na dobit iznad visine utvrđene odlukom Hrvatske gospodarske komore ili Hrvatske obrtničke komore, u smislu poreza na dodanu vrijednost, ako je odluku da se ne tereti odgovorna osoba donio upravni odbor, nadzorni odbor ili skupština trgovačkog društva, a zbog nepostojanja objektivne mogućnosti utvrđivanja osobne odgovornosti radnika, člana društva ili druge fizičke osobe.
POGLAVLJE III.
PRIMICI NA KOJE SE NE PLAĆA POREZ NA DOHODAK
Članak 3.
(1) Ako ukupni primici iz članka 9. stavka 1. točke 6. Zakona umanjeni za naknadu za posredovanje u korist posrednika godišnje ne prelaze propisani iznos iz članka 4. stavka 1. r.br. 2. ovoga Pravilnika, isti se smatraju primicima koji ne podliježu obvezi utvrđivanja dohotka i obračunu i uplati predujma poreza na dohodak.
(2) Naknada štete iz članka 9. stavka 1. točke 7. Zakona koja je određena u jednokratnom iznosu i zbog nemogućnosti jednokratne isplate se isplaćuje u obrocima, a najviše do 12 obroka u poreznom razdoblju u kojem je donesena sudska odluka ili postignuta nagodba u tijeku sudskog postupka ili u idućem poreznom razdoblju nakon što je donesena sudska odluka ili postignuta nagodba u tijeku sudskog postupka, ne smatra se primitkom na koji se plaća porez na dohodak.
(3) Naknada štete iz članka 9. stavka 1. točke 7. Zakona koja je određena u jednokratnom iznosu, a isplaćuje se u više od 12 obroka smatra se primitkom od kojeg se utvrđuje oporezivi dohodak ovisno o izvoru dohotka u visini razlike naknade štete iznad 12 obroka. Navedeno se odnosi i ako se naknada štete određena u jednokratnom iznosu isplaćuje u najviše do 12 obroka u poreznim razdobljima nakon poreznog razdoblja i idućega poreznog razdoblja u kojem je donesena sudska odluka ili postignuta nagodba u tijeku sudskog postupka. Naknada štete određena u iznosu koji će se isplaćivati u točno utvrđenim obrocima za ograničeno ili neograničeno razdoblje (primjerice mjesečno) smatra se oporezivim primitkom od kojeg se plaća porez na dohodak u skladu sa Zakonom, a ovisno o izvoru dohotka. Ako se naknada štete temeljem sudske odluke, nagodbe u tijeku sudskog spora, nagodbe sklopljene s nadležnim državnim odvjetništvom u postupcima za mirno rješenje spora i/ili nagodbe postignute u postupku mirenja u individualnim radnim sporovima prema Zakonu kojim se uređuje mirenje isplaćuje u točno utvrđenim obrocima, a na temelju prijašnjeg radnog odnosa, smatra se primitkom od kojeg se utvrđuje dohodak od nesamostalnog rada iz članka 20. Zakona.
(4) Djetetom iz članka 9. stavka 1. točke 13. Zakona smatra se i dijete predškolske dobi.
(5) Porez na dohodak ne plaća se na stipendije iz članka 9. stavka 1. točke 14. Zakona do iznosa propisanih člankom 4. stavkom 1. r.br. 4. i 5. ovoga Pravilnika. Ako stipendiju učeniku ili studentu u poreznom razdoblju isplaćuju dva ili više isplatitelja, neoporezivi iznos stipendije utvrđuje se od ukupnog iznosa stipendije svih isplatitelja. U navedenom slučaju učenik ili student čiji ukupan iznos isplaćenih stipendija prelazi propisani neoporezivi iznos, obvezan je isplatitelju prije isplate stipendije dostaviti vjerodostojne isprave (preslike) ili pisanu izjavu o isplaćenim primicima po toj osnovi kod drugih isplatitelja. Ako učenik ili student ostvaruje stipendiju samo od jednog isplatitelja, obvezan je tom isplatitelju dati pisanu izjavu da ne prima stipendije i od drugih isplatitelja.
(6) Isplata stipendije iz članka 9. stavka 1. točke 15. Zakona ne isključuje pravo na neoporezivi iznos stipendije iz članka 9. stavka 1. točke 14. Zakona, a uz propisane uvjete.
(7) Na stipendije studenata na poslijediplomskim studijima, u skladu s člankom 9. stavkom 1. točkom 23. Zakona primjenjuju se odredbe stavaka 5. i 6. ovoga članka.
(8) Na primitke iz članka 9. stavka 1. točke 23. Zakona koji se isplaćuju poslijediplomantima, poslijedoktorandima, istraživačima i znanstvenicima prema članku 9. točki 15. Zakona, na odgovarajući način, se primjenjuju stavci 5. i 6. ovoga članka.
(9) Športske stipendije koje se, prema posebnim propisima, isplaćuju športašima za njihovo športsko usavršavanje smatraju se primitkom na koji se ne plaća porez na dohodak do iznosa propisanog člankom 4. stavkom 1. r.br. 6. ovoga Pravilnika. Športske stipendije i stipendije iz članka 9. stavka 1. točaka 14. i 15. Zakona međusobno se ne isključuju u svrhu priznavanja neoporezivog iznosa. Ako športske stipendije športašu u poreznom razdoblju isplaćuju dva ili više isplatitelja, postupa se na način iz stavka 5. ovoga članka.
(10) Porez na dohodak ne plaća se na nagrade za športska ostvarenja športaša i naknade športašima amaterima prema posebnim propisima iz članka 9. stavka 1. točki 17. Zakona, a do propisanih iznosa iz članka 4. stavka 1. r.br. 7. i 8. ovoga Pravilnika. Ako nagrade za športska ostvarenja športaša i naknade športašima amaterima isplaćuju u poreznom razdoblju dva ili više isplatitelja, postupa se na način iz stavka 5. ovoga članka.
(11) Porez na dohodak se ne plaća na premije dobrovoljnoga mirovinskog osiguranja iz članka 9. stavka 1. točke 18. Zakona koje poslodavac uplaćuje na svoj teret u korist radnika.
(12) Porez na dohodak ne plaća se, u skladu s člankom 9. stavkom 1. točkom 21. Zakona, na ukupni iznos primitaka koji se kao bespovratna sredstva fizičkim osobama isplaćuju, odnosno dodjeljuju za provedbu aktivnosti mobilnosti u okviru programa i fondova Europske unije, a u svrhe obrazovanja i stručnog usavršavanja za pokriće izdataka prijevoznih troškova, prehrane i smještaja te za realizaciju projektnih aktivnosti koje prijavljuju fizičke osobe (izdaci za najam prostora, osiguranje, opremu i materijale i drugo), a u skladu s financijskom uredbom Europske komisije, pod uvjetom da su osigurane vjerodostojne isprave sukladno propisima Europske komisije (ugovor, završno izvješće, račun i drugo). Iznos do kojeg se mogu neoporezivo isplatiti ti primici utvrđuju tijela akreditirana u skladu s pravilima Europske komisije u Republici Hrvatskoj putem kojih se isplaćuju ti primici, na temelju propisa ili sporazuma s Europskom komisijom te na temelju izvršenih analiza kojima se utvrđuje visina tih primitaka.
(13) Neoporezivim primicima iz članka 9. stavka 1. točke 23. Zakona, za pokriće troškova školovanja, usavršavanja i znanstvenih istraživanja, smatraju se primici za pokriće izdataka propisanih stavkom 12. ovoga članka neovisno da li navedene primitke isplaćuje poslodavac ili drugi isplatitelj te ako se ti primici ne ostvaruju u okvirima provedbe aktivnosti mobilnosti te pod uvjetom da se ne smatraju izvorom dohotka iz članka 5. Zakona. Neoporezivi iznosi primitaka za pokriće troškova priznaju se najviše u visini propisanih u skladu s posebnim propisima prema kojima se programi provode te na temelju vjerodostojnih isprava (ugovor, izvješće, račun i drugo).
(14) U smislu Zakona i ovoga Pravilnika, poslijediplomantima, poslijedoktorandima, istraživačima i znanstvenicima smatraju se osobe kako je to uređeno posebnim propisom.
Neoporezivi iznosi stipendija, nagrada i naknada fizičkih osoba koje ostvaruju drugi dohodak
Članak 4.
(1) Oporezivim primicima fizičkih osoba koje ostvaruju drugi dohodak iz članka 39. Zakona ne smatraju se iznosi što ih isplaćuju isplatitelji do propisanih iznosa izračunatih primjenom propisanih koeficijenata na osnovicu osobnog odbitka iz članka 14. stavka 1. Zakona (dalje u tekstu: osnovica osobnog odbitka) i to ukupno do:
|
R.br. |
Primici na koje se do propisanog iznosa ne plaća porez na dohodak |
Koeficijent |
Iznos |
|
1 |
2 |
3 |
4 |
|
1. |
Nagrade učenicima za vrijeme praktičnog rada i naukovanja (članak 9. stavak 1. točka 4. Zakona) |
0,7 |
1.750,00 mjesečno |
|
2. |
Primici po posebnim propisima učenika i studenata na redovnom školovanju za rad preko učeničkih i studentskih udruga (članak 9. stavak 1. točka 6. Zakona) |
6,0 |
15.000,00 godišnje |
|
3. |
Potpora djetetu za školovanje do 15. godine života odnosno do završetka osnovnoškolskog obrazovanja (članak 9. stavak 1. točka 13. Zakona) |
0,7 |
1.750,00 mjesečno |
|
4. |
Stipendije učenicima i studentima za redovno školovanje u tuzemstvu i inozemstvu na srednjim, višim i visokim školama te fakultetima (članak 9. stavak 1. točka 14. Zakona) |
0,7 |
1.750,00 mjesečno |
|
5. |
Stipendije studenata na sveučilištima u tuzemstvu i inozemstvu koje se dodjeljuju studentima za izvrsna postignuća u znanju i u ocjenama na sveučilištima, a koji su za dodjelu stipendija izabrani na javnim natječajima kojima mogu pristupiti svi studenti pod jednakim uvjetima (članak 9. stavak 1. točka 14. Zakona) |
1,6 |
4.000,00 mjesečno |
|
6. |
Športske stipendije koje se prema posebnim propisima isplaćuju športašima za njihovo športsko usavršavanje (članak 9. stavak 1. točka 16. Zakona) |
0,7 |
1.750,00 mjesečno |
|
7. |
Nagrade za športska ostvarenja (članak 9. stavak 1. točka 17. Zakona) |
8,0 |
20.000,00 godišnje |
|
8. |
Naknade koje se isplaćuju športašima amaterima prema posebnim propisima (članak 9. stavak 1. točka 17. Zakona) |
0,7 |
1.750,00 mjesečno |
(2) Poreznom obvezniku – studentu, može se priznati neoporezivi dio stipendije iz stavka 1. r.br. 5. do visine 4.000,00 kuna mjesečno po osnovi samo jedne dodijeljene stipendije. Porezno priznati neoporezivi dio stipendije iz stavka 1. r.br. 4. ovoga članka mjesečno i porezno priznati neoporezivi dio stipendije iz stavka 1. r.br. 5. ovoga članka mjesečno, međusobno se isključuju.
(3) Oporezivim primicima ne smatraju se stipendije iz članka 9. stavka 1. točke 19. Zakona za redovno školovanje na visokim učilištima u tuzemstvu i inozemstvu, a koje služe za pokriće stvarnih troškova školovanja (školarina, prijevoza, smještaja, obveznog zdravstvenog osiguranja za korištenje zdravstvene zaštite u inozemstvu prema posebnim propisima, prehrane, knjiga i ostalo), koje se dodjeljuju studentima koji su za dodjelu stipendija izabrani na javnim natječajima kojima mogu pristupiti svi studenti pod jednakim uvjetima.
(4) U slučajevima ostvarivanja stipendija i primitaka iz članka 9. stavka 1. točke 23. Zakona, primjenjuje se stavak 3. ovoga članka.
(5) Ako se u tijeku jednoga mjeseca poreznog razdoblja isplaćuju primici iz stavka 1. r.br . 1., i/ili r.br. 3. i/ili r.br. 4. i/ili r.br. 5. i/ili r.br. 6. i/ili r.br. 7. i/ili r.br. 8. ovoga članka za više mjeseci istog ili prethodnog poreznog razdoblja, propisani neoporezivi iznosi priznaju se u ukupnom iznosu kumulativno za broj mjeseci za koje je nagrada, stipendija, športska stipendija ili naknada trebala biti isplaćena. Isplatitelji su obvezni u svojim evidencijama osigurati podatke o isplaćenim primicima i to po osnovi svih navedenih isplata koje obavljaju, a ako se primici isplaćuju kod dva ili više isplatitelja, porezni obveznik obvezan je isplatitelju prije isplate dostaviti vjerodostojne isprave o ostvarenim primicima kod drugih isplatitelja.
(6) Oporezivim primicima ne smatraju se naknade iz članka 5. stavka 2. r.br. 13. i/ili r.br. 19. i/ili r.br. 20. i/ili r.br. 21. i/ili r.br. 22. i/ili r.br. 23. i/ili r.br. 24. i/ili r.br. 26. i/ili r.br. 27. i/ili r.br. 28. i/ili r.br. 29. i/ili r.br. 30. i/ili r.br. 31. ovoga Pravilnika što ih isplatitelji isplaćuju osobama koje se nakon završenog školovanja nalaze na obveznom praktičnom radu, na dobrovoljnoj praksi ili na stručnom osposobljavanju za rad bez zasnivanja radnog odnosa.
(7) U skladu s člankom 9. stavkom 11. točkom 11. Zakona oporezivim primicima ne smatraju se naknade iz članka 5. stavka 2. r.br. 19. – 22., 26. – 28. te 31. isplaćene po osnovi službenih putovanja. Primici po osnovi naknada za službena putovanja odnose se na službena putovanja za potrebe tih organizacija.
(8) Iznimno od stavka 7. ovoga članka, oporezivim primicima ne smatraju se naknade iz članka 5. stavka 2. r.br. 27. i 28. koje isplatitelji – neprofitne organizacije isplaćuju fizičkim osobama koje za te organizacije obavljaju poslove iz njihovog djelokruga odnosno za njihove potrebe i uz naknadu, a pod uvjetom da računi o obavljenim uslugama prijevoza i noćenja glase na isplatitelja – neprofitnu organizaciju.
(9) Iznos stipendije koji nije iskorišten za pokriće stvarnih troškova školovanja smatra se oporezivim primitkom od kojeg se utvrđuje drugi dohodak.
Neoporezive naknade, potpore, nagrade i drugi primici koji se ne smatraju dohotkom od nesamostalnog rada
Članak 5.
(1) U skladu s odredbama članka 21. stavka 1. točke 1. podtočke b) Zakona primici po osnovi naknada, potpora, nagrada, dnevnica i otpremnina smatraju se primicima od nesamostalnog rada ako prelaze iznose iz stavka 2. ovoga članka. Svi drugi primici koji nisu navedeni u stavku 2. ovoga članka smatraju se oporezivim primicima po osnovi nesamostalnog rada u ukupno isplaćenom iznosu.
(2) U skladu s odredbama članka 9. stavka 1. točke 9. Zakona, oporezivim primicima po osnovi nesamostalnog rada ne smatraju se iznosi što ih poslodavac ili isplatitelj plaće isplaćuje svojim radnicima, i to:
|
R.br. |
Opis |
Koeficijent |
Iznos |
|
1 |
2 |
3 |
4 |
|
1. |
Potpore zbog invalidnosti radnika |
1,00 |
do 2.500,00 kuna godišnje |
|
2. |
Potpore za slučaj smrti radnika |
3,00 |
do 7.500,00 kuna, osim jednokratnih potpora iz članka 8. stavka 2. točke 8. Zakona koje poslodavci isplaćuju djeci radnika, a koje se smatraju neoporezivim primicima u ukupnom iznosu |
|
3. |
Jednokratne potpore u slučaju smrti člana uže obitelji radnika (bračnog druga, roditelja, roditelja bračnog druga, djece, drugih predaka i potomaka u izravnoj liniji, posvojene i udomljene djece i djece na skrbi te punoljetne osobe kojoj je porezni obveznik imenovan skrbnikom prema posebnom zakonu) |
1,2 |
do 3.000,00 kuna |
|
4. |
Potpore zbog neprekidnog bolovanja radnika dužeg od 90 dana. Razdoblje bolovanja duže od 90 dana ne mora se odnositi na jednu kalendarsku godinu |
1,0 |
do 2.500,00 kuna godišnje |
|
5. |
Prigodne nagrade (božićnica, naknada za godišnji odmor i sl.) |
1,0 |
do 2.500,00 kuna godišnje |
|
6. |
Nagrade radnicima za navršenih 10 godina radnog staža |
0,6 |
do 1.500,00 kuna |
|
7. |
Nagrade radnicima za navršenih 15 godina radnog staža |
0,8 |
do 2.000,00 kuna |
|
8. |
Nagrade radnicima za navršenih 20 godina radnog staža |
1,0 |
do 2.500,00 kuna |
|
9. |
Nagrade radnicima za navršenih 25 godina radnog staža |
1,2 |
do 3.000,00 kuna |
|
10. |
Nagrade radnicima za navršenih 30 godina radnog staža |
1,4 |
do 3.500,00 kuna |
|
11. |
Nagrade radnicima za navršenih 35 godina radnog staža |
1,6 |
do 4.000,00 kuna |
|
12. |
Nagrade radnicima za navršenih 40 godina radnog staža i svakih narednih 5 godina radnog staža |
2,0 |
do 5.000,00 kuna |
|
13. |
Naknade za odvojeni život od obitelji |
0,7 |
do 1.750,00 kuna mjesečno |
|
14. |
Otpremnine prilikom odlaska u mirovinu |
3,2 |
do 8.000,00 kuna |
|
15. |
Otpremnine zbog poslovno uvjetovanih otkaza i osobno uvjetovanih otkaza, prema zakonu kojim se uređuje radni odnos |
2,6 |
do visine 6.500,00 kuna za svaku navršenu godinu rada kod tog poslodavca |
|
16. |
Otpremnine zbog ozljede na radu ili profesionalne bolesti |
3,2 |
do visine 8.000,00 kuna za svaku navršenu godinu rada kod tog poslodavca |
|
17. |
Potpora djetetu za školovanje do 15. godine života odnosno do završetka osnovnoškolskog obrazovanja |
0,7 |
1.750,00 mjesečno |
|
18. |
Dar djetetu do 15 godina starosti (koje je do dana 31. prosinca tekuće godine navršilo 15 godina starosti) |
do 600,00 kuna godišnje |
|
|
19. |
Dnevnice za službeno putovanje u tuzemstvu koje traje više od 12 sati dnevno i dnevnica za rad na terenu u tuzemstvu |
do 170,00 kuna |
|
|
20. |
Dnevnice za službeno putovanje u tuzemstvu koje traje više od 8 sati, a manje od 12 sati dnevno |
do 85,00 kuna |
|
|
21. |
Dnevnice za službeno putovanje u inozemstvo koje traje više od 12 sati dnevno i dnevnica za rad na terenu u inozemstvu |
do iznosa utvrđenih propisima o izdacima za službena putovanja za korisnike državnog proračuna |
|
|
22. |
Dnevnice za službeno putovanje u inozemstvo koje traje više od 8 sati, a manje od 12 sati dnevno |
do 50% iznosa utvrđenih propisima o izdacima za službena putovanja za korisnike državnog proračuna |
|
|
23. |
Pomorski dodatak |
do 250,00 kuna dnevno |
|
|
24. |
Pomorski dodatak na brodovima međunarodne plovidbe |
do 400,00 kuna dnevno |
|
|
25. |
Potpore za novorođenče |
u visini jedne proračunske osnovice prema posebnom propisu |
|
|
26. |
Dnevnice za službena putovanja per diem koje se radnicima isplaćuju iz proračuna Europske unije radi obavljanja poslova njihovih radnih mjesta, a u svezi s djelatnosti poslodavca |
u ukupnom iznosu |
|
|
27. |
Naknade prijevoznih troškova na službenom putovanju |
u visini stvarnih izdataka |
|
|
28. |
Naknade troškova noćenja na službenom putovanju |
u visini stvarnih izdataka |
|
|
29. |
Naknade troškova prijevoza na posao i s posla mjesnim javnim prijevozom |
u visini stvarnih izdataka prema cijeni mjesečne odnosno pojedinačne prijevozne karte odnosno do visine cijene mjesečne odnosno pojedinačne prijevozne karte. Ako na određenom području odnosno udaljenosti nema organiziranog prijevoza, naknada troškova prijevoza na posao i s posla utvrđuje se u visini cijene prijevoza koja je utvrđena na približno jednakim udaljenostima na kojima je organiziran prijevoz odnosno do visine cijene prijevoza koja je utvrđena na približno jednakim udaljenostima na kojima je organiziran prijevoz. |
|
|
30. |
Naknade troškova prijevoza na posao i s posla međumjesnim javnim prijevozom |
u visini stvarnih izdataka, prema cijeni mjesečne odnosno pojedinačne karte odnosno do visine cijene mjesečne odnosno pojedinačne prijevozne karte. Ako radnik mora sa stanice međumjesnog javnog prijevoza koristiti i mjesni prijevoz, stvarni izdaci utvrđuju se u visini troškova mjesnog i međumjesnoga javnoga prijevoza odnosno do visine stvarnih izdataka utvrđenih u visini troškova mjesnog i međumjesnoga javnoga prijevoza. |
|
|
31. |
Naknade za korištenje privatnog automobila u službene svrhe |
do 2,00 kune po prijeđenom kilometru |
|
(3) Iznosi iz stavka 2. od r.br. 1. do 17. izračunati su primjenom propisanih koeficijenata na osnovicu osobnog odbitka.
(4) Ako se prigodna nagrada iz stavka 2. r.br. 5. ovoga članka isplaćuje radniku koji radi istovremeno kad dva ili više poslodavaca u poreznom razdoblju za koje se prigodna nagrada isplaćuje i/ili je tijekom poreznog razdoblja imao zasnovan radni odnos kod dva ili više poslodavaca, ali ne istodobno, radnik je obvezan prije isplate prigodne nagrade poslodavcu pisano izjaviti da li je kod drugog i/ili bivšeg poslodavca ostvario isplatu prigodne nagrade za to porezno razdoblje, u kojem iznosu i je li po toj osnovi obračunan i uplaćen predujam poreza na dohodak. U slučaju izvršene isplate prigodne nagrade, neoporezivo se može isplatiti samo razlika do propisanog iznosa iz stavka 2. r.br. 5. ovoga članka.
(5) U smislu provedbe stavka 2. r.br. 15. i 16. ovoga članka radom kod istog poslodavca smatra se i razdoblje rada kod prethodnog poslodavca, ako se, prema odredbama Zakona kojim se uređuje radni odnos, na novog poslodavca prenose ugovori o radu radnika koji rade u poduzeću ili dijelu poduzeća koje se statusnom promjenom ili pravnim poslom prenosi na novog poslodavca. Navedena odredba se na odgovarajući način primjenjuje i na ustanove i druge pravne osobe.
(6) Otpremnina iz stavka 2. r.br. 15. ovoga članka može se isplatiti i radniku kojemu je radni odnos prestao sporazumom poslodavca i radnika na prijedlog poslodavca, pod uvjetom da je radnik bio obuhvaćen u višak radnika sukladno odredbi članka 127. Zakona o radu (»Narodne novine«, broj 93/14).
(7) Dnevnica iz r.br. 19., 20., 21. i 22. može se isplaćivati za službena putovanja ili za rad na terenu, u tuzemstvu ili inozemstvu.
(8) Službenim putovanjem u smislu Zakona i ovoga Pravilnika smatra se putovanje do 30 dana neprekidno i to iz mjesta u kojemu je mjesto rada ili iz mjesta prebivališta/uobičajenog boravišta radnika koji se upućuje na službeno putovanje u drugo mjesto (osim u mjesto u kojemu ima prebivalište ili uobičajeno boravište), a udaljenosti najmanje 30 kilometara, radi obavljanja u nalogu za službeno putovanje određenih poslova njegova radnog mjesta, a u svezi s djelatnosti poslodavca.
(9) Radom na terenu u tuzemstvu smatra se boravak radnika izvan mjesta svojega prebivališta ili uobičajenog boravišta radi poslova koje obavlja izvan sjedišta poslodavca ili sjedišta izdvojene poslovne jedinice poslodavca i kada poslodavac obavlja takvu vrstu djelatnosti koja je po svojoj prirodi vezana za rad na terenu (mjesto rada se razlikuje od mjesta sjedišta poslodavca ili njegove poslovne jedinice i mjesta prebivališta ili uobičajenog boravišta radnika, pri čemu je mjesto rada udaljeno od tih mjesta najmanje 30 kilometara). Radom na terenu smatra se i sudjelovanje radnika u razvojno – istraživačkim transferima znanja čiji je cilj osmišljavanje i unaprjeđivanje proizvoda i poslovnih rješenja vezanih uz djelatnost poslodavca, kao i verifikacija, integracija i implementacija poslovnih rješenja koji su proizvod poslodavca, te ukoliko su ti poslovi u opisu radnog mjesta radnika.
(10) Dnevnice za službena putovanja u zemlji i inozemstvu jesu naknade za pokriće izdataka prehrane, pića i prijevoza u mjestu u koje je radnik upućen na službeno putovanje. Ako je na službenom putovanju, na teret poslodavca, osiguran jedan obrok (ručak ili večera) neoporezivi iznos dnevnice iz stavka 2. r.br. 19. i/ili r.br. 20. i/ili r.br. 21. i/ili r.br. 22. ovoga članka koji se isplaćuje u novcu umanjuje se za 30% odnosno za 60% ako su osigurana dva obroka (ručak i večera).
(11) Dnevnica za rad na terenu jest naknada na ime pokrića troškova prehrane i drugih troškova radnika na terenu u zemlji, osim troškova smještaja koji se podmiruju na teret poslodavca i ne smatraju se dohotkom radnika. Dnevnica za rad na terenu se može isplatiti i u slučaju kada ne postoji potreba za noćenjem radnika na terenu ako su zadovoljeni ostali uvjeti propisani ovim Pravilnikom.
(12) Pod službenim putovanjem u inozemstvo u smislu Zakona i ovoga Pravilnika smatra se službeno putovanje iz Republike Hrvatske u stranu državu i obratno te putovanje iz jedne strane države u drugu i iz jednog mjesta u drugo mjesto na teritoriju strane države.
(13) Izdatak za smještaj na službenom putovanju obračunava se u visini primljenog računa za noćenje.
(14) Pod smještajem u smislu stavka 9. ovoga članka, ne smatra se smještaj za dnevni odmor. Iznimno, neoporezivi izdatak za dnevni odmor članova posade zrakoplova pri obavljanju službenoga putovanja obračunava se na temelju hotelskoga računa, ako je vrijeme zadržavanja na aerodromu između dvaju letova u tijeku 24 sata, duže od četiri sata. Neoporezivi izdatak za dnevni odmor obračunava se i za izdatak za dnevni odmor vozača u cestovnom prometu, u slučaju odmora prema posebnom propisu.
(15) Za službeno putovanje letačkog osoblja u inozemstvo, koje ukupno traje manje od osam sati, računajući vrijeme od sata polaska aviona s posljednjeg aerodroma u Hrvatskoj do sata povratka na prvi aerodrom u Hrvatskoj, neoporezivo se može isplatiti inozemna dnevnica umanjena za 70%.
(16) Inozemna dnevnica određena za stranu državu u koju se službeno putuje obračunava se od sata prelaska granice Hrvatske, a dnevnice određene za stranu državu iz koje se dolazi, do sata prelaska granice Hrvatske. Ako se za službeno putovanje u inozemstvo koristi zrakoplov, inozemna dnevnica se obračunava od sata polaska aviona s posljednjeg aerodroma u Hrvatskoj do sata povratka aviona na prvi aerodrom u Hrvatskoj. Ako se za službeno putovanje u inozemstvo koristi brod, dnevnica se obračunava od sata polaska broda iz posljednjeg pristaništa u Hrvatskoj do sata povratka broda u prvo pristanište u Hrvatskoj. Ako se službeno putuje u više zemalja, u odlasku se obračunava dnevnica utvrđena za stranu država u kojoj se počinje službeno putovanje, a u povratku dnevnica utvrđena za stranu državu u kojoj je službeno putovanje završeno. Za svako zadržavanje odnosno proputovanje kroz stranu državu koje traje duže od 12 sati obračunava se dnevnica za tu stranu državu.
(17) Izdaci za pribavljanje putničkih isprava, cijepljenje i liječničke preglede, u svezi sa službenim putovanjem u inozemstvo, ako navedene troškove ne plaća obvezno zdravstveno osiguranje, obračunavaju se i priznaju u stvarnim iznosima.
(18) Ako se jedan službeni put odnosi na put u tuzemstvo i inozemstvo, prvo se utvrđuje pravo na inozemnu dnevnicu, a nakon toga pravo na tuzemnu dnevnicu, uzimajući u obzir ukupan broj dana/sati provedenog na službenom putu.
(19) Pomorski dodatak iz stavka 2. r.br. 23. ovoga članka primjenjuje se za:
1. pomorce članove posade brodova koji plove nacionalnom plovidbom, u skladu s posebnim propisima,
2. pomorce članove posade brodova koji plove na brodovima u međunarodnom linijskom pomorskom prometu koji obavljaju prijevoz između hrvatskih i stranih luka unutar granica Jadranskog mora,
3. ribare članove posade ribarskih plovila koji plove u ribolovnom moru Republike Hrvatske, u skladu s posebnim propisima.
(20) Pomorski dodatak iz stavka 2. r.br. 24. ovoga članka primjenjuje se za pomorce članove posade brodova koji plove u međunarodnoj plovidbi, bez obzira na državnu pripadnost broda, a na temelju obračuna pomorskog dodatka koji prilažu uz prijavu poreza na dohodak za porezno razdoblje. Brod u međunarodnoj plovidbi je, u skladu s posebnim zakonom, brod koji plovi iz Republike Hrvatske u stranu luku i obrnuto ili između stranih luka ili plovi na otvorenom moru ili u teritorijalnim vodama stranih država radi pružanja usluga vezanih uz djelatnosti na pučini kao što su istraživanje i iskorištavanje energenata i slično.
(21) Naknada za odvojeni život od obitelji iz stavka 2. r.br. 13. ovoga članka isplaćuje se radniku za vrijeme provedeno na radu u mjestu sjedišta poslodavca ili njegove izdvojene poslovne jedinice, ako je mjesto rada različito od mjesta prebivališta ili uobičajenog boravišta tog radnika. Obitelji se smatra bračni drug, djeca, posvojenik, udomljeno dijete i štićenik, ako su prijavljeni na istoj adresi stanovanja kao i porezni obveznik.
(22) Oporezivim primicima po osnovi nesamostalnog rada ne smatraju se naknade iz stavka 2. r.br. 19. – 22. te r.br. 27. – 31. ovoga članka i/ili dnevnice za službena putovanja u zemlji i inozemstvu koje tuzemni isplatitelj isplaćuje fizičkim osobama iz članka 21. stavka 1. točke 3. Zakona izaslanima na rad u Republiku Hrvatsku po nalogu inozemnog poslodavca i to u svezi s obavljanjem djelatnosti tuzemnog poslodavca.
(23) Oporezivim primicima po osnovi nesamostalnog rada ne smatraju se naknade iz stavka 2. ovoga članka koje se isplaćuju članovima predstavničkih i izvršnih tijela državne vlasti te jedinica lokalne i područne (regionalne) samouprave iz članka 21. stavka 1. točke 4. Zakona.
(24) Oporezivim primicima po osnovi nesamostalnog rada ne smatraju se naknade iz stavka 2. ovoga članka koje se isplaćuju prema članku 21. stavku 1. točki 5. Zakona osobama koje pružaju njegu i pomoć hrvatskim ratnim vojnim invalidima iz Domovinskog rata I. skupine.
(25) Oporezivim primicima po osnovi nesamostalnog rada ne smatraju se ni dnevnice za službena putovanja per diem u ukupnom iznosu iz stavka 2. r.br. 26. ovoga članka, koje se radnicima isplaćuju iz proračuna Europske unije radi obavljanja poslova njihovih radnih mjesta, a u svezi s djelatnosti poslodavca.
(26) Oporezivim primicima po osnovi nesamostalnog rada ne smatraju se troškovi prijevoza prigodom upućivanja radnika na i povratka sa obrazovanja i izobrazbe iz članka 22. stavka 1. točke 5. Zakona, ako se obrazovanje i izobrazba obavlja izvan mjesta prebivališta ili uobičajenog boravišta radnika i to do visine cijene karata sredstvima javnog prijevoza i troškovi smještaja do visine stvarnih izdataka, a u slučajevima seminara i savjetovanja i dnevnice do visine i pod uvjetima propisanim ovim Pravilnikom.
(27) Primici iz stavka 2. r.br. 19. – r.br. 22., r.br. 26. – r.br. 28. te r.br. 31. ovoga članka, članka 3. stavaka 8. i 12. i članka 4. stavaka 7. i 8., ovoga Pravilnika koji se odnose na izdatke za prijevozne troškove, naknada korištenje privatnog automobila za potrebe službenog putovanja te prehranu i smještaj, međusobno se isključuju.
(28) Naknade iz stavka 2. ovoga članka koje se odnose na dnevnice za službeno putovanje u tuzemstvu i/ili inozemstvu, dnevnice za rad na terenu i/ili naknada za odvojeni život i/ili pomorske dodatke međusobno se isključuju.
(29) Iznos dnevne naknade za odvojeni život jest neoporezivi mjesečni iznos naknade za odvojeni život podijeljen s brojem ukupnih dana za mjesec za koji se naknada isplaćuje.
(30) Terenski dodatak u inozemstvu isplaćuje se radniku upućenom odnosno raspoređenom na rad u inozemstvo po osnovi radnog odnosa zasnovanog s poslodavcem u Republici Hrvatskoj.
(31) Naknade troškova prijevoza na posao i s posla međumjesnim javnim prijevozom ne odnose se na isplate radnicima koji cijeli mjesec nisu radili odnosno koji su cijeli mjesec proveli na bolovanju ili plaćenom odnosno neplaćenom dopustu u skladu s posebnim propisima.
Članak 6.
(1) Isplate iz članka 5. ovoga Pravilnika priznaju se na temelju vjerodostojnih isprava (računa, obračuna, odluka, potvrda o cijeni karata i drugog).
(2) Izdaci za službena putovanja iz članka 5. ovoga Pravilnika (dnevnice, naknade prijevoznih troškova, naknade korištenja privatnog automobila u službene svrhe, troškovi noćenja i drugo) obračunavaju se na temelju urednog i vjerodostojnog putnog naloga i priloženih isprava kojima se dokazuju izdaci i drugi podaci navedeni na putnom nalogu. Neovisno u kojem obliku se izdaje, putni nalog kao vjerodostojna isprava sadrži osobito slijedeće podatke: nadnevak izdavanja, ime i prezime osobe koja se upućuje na službeno putovanje, mjesto u koje osoba putuje, svrha putovanja, vrijeme trajanja putovanja, vrijeme kretanja na put, podatke o prijevoznom sredstvu kojim se putuje (ako se putuje automobilom potrebno je navesti marku i registarsku oznaku automobila, početno i završno stanje brojila – kilometar/sat), vrijeme povratka s puta, potpis ovlaštene osobe, obračun troškova, likvidaciju obračuna te izvješće s puta. Uz putni nalog obvezno se prilažu isprave kojima se dokazuju nastali izdaci i to osobito: računi za cestarine, preslike ili potvrde putnih karata, računi za smještaj i drugo, bez obzira na način podmirenja izdataka.
(3) Radi priznavanja neoporezivih iznosa naknada troškova prijevoza iz članka 5. stavka 2. r.br. 29. i r.br. 30. i stavka 26. ovoga Pravilnika odnosno dokazivanja stvarnih izdataka, vjerodostojnom ispravom smatraju se i javno objavljeni odnosno dostupni cjenici ovlaštenih prijevoznika koje su poslodavci radi priznavanja neoporezivih iznosa obvezni osigurati i čuvati u svojim službenim evidencijama odnosno uz putni nalog.
DIO DRUGI
PRIMICI U NARAVI
Primici u naravi po osnovi nesamostalnog rada
Članak 7.
(1) Primicima po osnovi nesamostalnog rada u skladu s člankom 21. stavkom 3. Zakona smatraju se i primici radnika i osoba koje ostvaruju primitke iz članka 21. Zakona u stvarima i uslugama koje imaju novčanu vrijednost (dobra, usluge, prava i ostala primanja u naravi), u koje posebice ulaze:
1. korištenje poslovnih zgrada i njihovih dijelova, garaža, odmarališta i kuća za odmor, stambenih zgrada i stanova, prijevoznih sredstava koje poslodavac i isplatitelj primitka odnosno plaće omogućuje radniku i osobama koje ostvaruju primitke iz članka 21. Zakona
2. korištenje kredita uz kamate ispod stope od 3% godišnje
3. primici ostvareni u dobrima i uslugama bez naknade ili uz djelomičnu naknadu, te raznim darovima i ugošćenjima. Ugošćenjima se smatraju primici koje poslodavac i isplatitelj primitka odnosno plaće omogućuje radniku i drugim osobama koje ostvaruju primitke iz članka 21. Zakona u vidu konzumacije jela, pića, smještaja, rekreacije i slično. Ugošćenjima u smislu ovoga Pravilnika ne smatraju se ugošćenja predstavnika poslovnih partnera ako se na dokumentaciji o tim izdacima navede naziv poduzetnika čiji su predstavnici ugošćeni
4. primici po osnovi naknada i nagrada za rad u dionicama, uključujući i primitke po osnovi dodjele ili opcijske kupnje vlastitih dionica po povoljnijim uvjetima
5. svi drugi primici u svezi i po osnovi nesamostalnog rada koji se daju u naravi, osim izravnih ili neizravnih novčanih isplata i doznaka.
(2) Povoljnijim kreditima iz stavka 1. točke 2. ovoga članka ne smatraju se krediti koji se radnicima i osobama koje ostvaruju primitke iz članka 21. Zakona, osim radnicima u upravi, daju ili subvencioniraju iz proračuna, bez obzira pod kojim uvjetima su odobreni.
(3) Zaposlenima u upravi u smislu stavka 2. ovoga članka smatraju se službenici i namještenici u tijelima državne uprave, u tijelima lokalne i područne (regionalne) samouprave te drugim tijelima kojima se sredstva za rad u pretežitom dijelu osiguravaju u proračunima.
(4) Primicima po osnovi nesamostalnog rada, u skladu s člankom 21. stavkom 3. Zakona, smatraju se i primici po osnovi manjkova na imovini iz članka 7. stavka 1. točke 5. Zakona o porezu na dobit, ako se za iznos tih manjkova ne tereti odgovorna osoba i ako se po toj osnovi ne utvrđuje dohodak od kapitala iz članka 66. Zakona. Utvrđeni manjak uvećan za obračunani porez na dodanu vrijednost smatra se primitkom po osnovi nesamostalnog rada (plaćom) i pripisuje se radniku koji je ovlašten donijeti odluku o terećenju odgovorne osobe, a to nije učinio.
Primici u naravi po osnovi drugog dohotka
Članak 8.
(1) Primici u naravi iz članka 39. stavka 3. točke 5. Zakona odnosno primici iz članka 7. ovoga Pravilnika koje davatelji daju fizičkim osobama koje nisu njihovi radnici u radnom odnosu odnosno osobe koje ostvaruju primitke iz članka 21. Zakona, smatraju se primicima od kojih se utvrđuje drugi dohodak. Vrijednost primitaka u naravi utvrđuje se prema članku 10. ovoga Pravilnika.
(2) Primicima u naravi od kojih se utvrđuje drugi dohodak smatraju se i:
1. primici koje ostvaruju radnici tuzemnog društva dodjelom vlastitih dionica povezanog društva u tuzemstvu ili u inozemstvu ili realizacijom prava iz opcijskog ugovora sklopljenog s povezanim društvom u tuzemstvu ili u inozemstvu
2. primici iz članka 64. Zakona s obilježjima skrivenih isplata dobiti, odnosno izuzimanja, koje ostvaruju fizičke osobe koje nisu dioničari ili članovi društva ili radnici ili fizičke osobe koje su obveznici poreza na dobit.
(3) Primicima u naravi iz stavka 1. ovoga članka ne smatraju se primici koje neprofitne organizacije omogućuju svim svojim članovima pod istim uvjetima, a vezani su uz obavljanje djelatnosti neprofitne organizacije odnosno ispunjavanju svrhe postojanja neprofitne organizacije, osobito: posebna radna ili svečana odjeća obilježena nazivom ili znakom neprofitne organizacije, u skladu s posebnim propisima o zaštiti na radu ili prema statutu neprofitne organizacije, obvezni liječnički pregledi prema posebnim propisima, sistematski kontrolni liječnički pregledi, obrazovanje i izobrazba koje su u svezi s djelatnosti neprofitne organizacije.
Primici u naravi po osnovi kapitala
Članak. 9.
(1) Dohotkom od kapitala smatraju se primici iz članka 64. Zakona
(2) Primici od kapitala iz stavka 1. ovoga članka koji su ostvareni u pravima, stvarima i uslugama koje imaju novčanu vrijednost, smatraju se primicima u naravi i pri obračunavanju i plaćanju predujma poreza na dohodak vrijednost primitka u naravi (koji uključuje i možebitni porez na dodanu vrijednost) uvećava se za porez na dohodak i prirez porezu na dohodak.
Utvrđivanje vrijednosti primitaka u naravi
Članak 10.
(1) Vrijednost primitaka u naravi utvrđuje se prema tržišnoj vrijednosti tih primitaka koja je važeća u mjestu davanja (s uključenim porezom na dodanu vrijednost).
(2) Ako su primici u naravi odobreni radniku uz plaćanje naknade koja je niža od tržišne, poslodavac i isplatitelj primitka mora utvrditi razliku između tržišne cijene i naknade koju je radnik platio. Tako utvrđena razlika smatra se primitkom po osnovi nesamostalnog rada.
(3) Vrijednost primitaka u naravi utvrđuje se na sljedeći način:
1. pri korištenju poslovnih zgrada i njihovih dijelova – primitak čini iznos zakupnine ili najamnine prema tržišnim cijenama u mjestu u kojem se poslovne zgrade ili dijelovi poslovnih zgrada nalaze
2. pri korištenju stambenih zgrada i stanova – primitak je iznos stanarine prema tržišnim cijenama u mjestu u kojem se stambene zgrade ili dijelovi stambenih zgrada nalaze
3. pri korištenju odmarališta i kuća za odmor – primitak je tržišna vrijednost smještaja, prehrane i drugih usluga
4. pri korištenju garaža – primitak je iznos zakupnine prema tržišnim cijenama u mjestu u kojem se garaža nalazi
5. pri korištenju prijevoznih sredstava – primitak je iznos u visini od l% nabavne vrijednosti prijevoznih sredstava mjesečno (uvećano za porez na dodanu vrijednost) odnosno u visini 20 % od mjesečne rate za operativni leasing ili dugotrajni najam (uvećano za porez na dodanu vrijednost), bez obzira na opseg korištenja prijevoznih sredstava u privatne svrhe. Primitak se može utvrđivati i prema opsegu stvarnog korištenja:
5.1. ako se prijevozna sredstva daju na korištenje u privatne svrhe, poslodavac i isplatitelj primitka odnosno plaće obvezan je donijeti odluku o načinu i uvjetima tog korištenja, kao i načinu utvrđivanja plaće radnika i osoba koje ostvaruju primitke iz članka 21. Zakona po toj osnovi
5.2. ako se plaća po osnovi korištenja prijevoznog sredstva u privatne svrhe utvrđuje prema opsegu stvarnog korištenja, poslodavac i isplatitelj primitka odnosno plaće obvezan je voditi evidenciju o prijeđenoj kilometraži i vremenu korištenja u privatne svrhe, a način vođenja te evidencije utvrđuje odlukom iz točke 5.1. ovoga stavka
5.3. ako se ne vodi evidencija iz točke 5.2. ovoga stavka, primitak u naravi od korištenja prijevoznih sredstava u privatne svrhe utvrđuje se u visini 1% nabavne vrijednosti prijevoznih sredstava mjesečno odnosno u visini 20 % iznosa mjesečne rate za operativni leasing ili dugotrajni najam
5.4. ako više radnika ili osoba koje ostvaruju primitke iz članka 14. Zakona tijekom mjeseca koristi isto prijevozno sredstvo, a poslodavac i isplatitelj primitka odnosno plaće osnovicu utvrđuje u visini 1% nabavne vrijednosti prijevoznih sredstava mjesečno odnosno u visini 20 % iznosa mjesečne rate za operativni leasing ili dugotrajni najam, odgovarajući iznos primitka po toj osnovi pribraja svakom radniku i osobi
5.5. primitak po osnovi korištenja prijevoznih sredstava u privatne svrhe utvrđuje se prema stvarnom opsegu korištenja na slijedeći način:
5.5.1. za cestovna motorna vozila – na iznos koji se dobije tako da se ukupno prijeđena kilometraža u privatne svrhe pomnoži s 2,00 kune po prijeđenom kilometru
5.5.2. za plovila – na iznos dobiven umnoškom broja sati korištenja i tržišne cijene sata korištenja plovila u mjestu u kojem je plovilo registrirano
5.5.3. za sredstva zračnog prometa – na iznos koji se dobije umnoškom broja sati korištenja i tržišne cijene sata korištenja u mjestu registracije
6. pri korištenju kredita uz kamate ispod stope 3% godišnje – na razliku između kamata obračunanih primjenom stope kamate od 3% godišnje i ugovorenih nižih kamata
7. pri davanju darova, usluga bez naknade i slično čija je pojedinačna vrijednost preko 400,00 kuna po pojedinom radniku i osobama koje ostvaruju primitke iz članka 21. Zakona godišnje – na vrijednost iste ili slične vrste stvari odnosno usluge prema tržnim cijenama u mjestu davanja dara ili usluge. Pod darovima se u smislu ovoga Pravilnika, smatraju samo davanja u naravi
8. pri ugošćenjima – na vrijednost ugošćenja prema tržišnim cijenama u mjestu ugošćenja
9. pri davanju dionica uključujući i dodjelu vlastitih dionica koje ne kotiraju na burzi ili uređenim javnim tržištima – na nominalnu vrijednost dionica ili na tržišnu vrijednost dionica ako je veća od nominalne. Razlika u cijeni između prodajne odnosno nominalne i tržišne cijene dionica koje poslodavac/isplatitelj plaće prodaje svojim radnicima odnosno osobama koje ostvaruju primitke iz članka 21. Zakona jest primitak u naravi po osnovi nesamostalnog rada
10. pri opcijskoj kupnji dionica – primitak od nesamostalnog rada je razlika između tržišne vrijednosti dionice i opcijskim ugovorom utvrđene cijene dionica koje poslodavac/isplatitelj plaće prodaje svojim radnicima odnosno osobama koje ostvaruju primitke iz članka 21. Zakona, ako je tržišna vrijednost viša u trenutku realizacije prava iz opcije. Realizacijom prava iz opcije smatra se trenutak kupnje dionica društva od strane vlasnika opcije (radnika odnosno osobe koja ostvaruje primitke iz članka 21. Zakona) ili trenutak prijenosa prava na kupnju dionica društva na treću osobu i/ili
11. pri dodjeli vlastitih dionica koje kotiraju na burzi ili uređenim javnim tržištima – primitak se utvrđuje u visini tržišne vrijednosti ili razlike između tržišne vrijednosti dodijeljenih dionica i plaćene naknade, ako se dionice stječu uz djelomičnu naknadu.
(4) Radi obračunavanja i plaćanja poreza na dohodak sukladno Zakonu, pri obračunavanju i plaćanju predujma poreza na dohodak tržišna vrijednost odnosno vrijednost primitaka u naravi uvećava se za doprinose za obvezna osiguranja iz primitka, porez na dohodak i prirez porezu na dohodak.
Utvrđivanje predujma poreza na dohodak i poreza na dohodak po osnovi primitaka ostvarenih u naravi
Članak 11.
(1) Predujam poreza na dohodak iz primitka od nesamostalnog rada ostvarenog u naravi iz članka 10. ovoga Pravilnika obračunava se od tržišne vrijednosti odnosno vrijednosti tih primitaka s uključenim porezom na dodanu vrijednost uvećanim za doprinose za obvezna osiguranja iz primitka prema posebnim propisima, porez na dohodak i prirez porezu na dohodak.
(2) Predujam poreza na dohodak iz primitka od nesamostalnog rada ostvarenog u naravi plaća se u skladu s člankom 25. stavkom 3. Zakona.
(3) Predujam poreza na dohodak iz primitka od drugog dohotka ostvarenog u naravi plaća se u skladu s člankom 40. Zakona.
(4) Porez na dohodak iz primitaka od kapitala ostvarenog u naravi plaća se u skladu s člankom 70. Zakona.
DIO TREĆI
NAČIN UTVRĐIVANJA PREDUJMA POREZA NA DOHODAK PO OSNOVI INOZEMNE MIROVINE
Članak 12.
(1) Porezni obveznik koji ostvaruje mirovinu iz inozemstva ili u inozemstvu predujam poreza na dohodak po osnovi te mirovine plaća prema rješenju Porezne uprave u skladu s člankom 81. stavkom 2. Zakona.
(2) Ako porezni obveznik koji ostvaruje mirovinu iz inozemstva ili u inozemstvu ostvaruje i mirovinu od tuzemnog isplatitelja, Porezna uprava će kod izračuna predujma poreza na dohodak po osnovi inozemne mirovine uzeti u obzir i mirovinu koju porezni obveznik ostvaruje od tuzemnog isplatitelja i isplate prigodnih nagrada iz članka 5. stavka 2. r.br. 5. ovoga Pravilnika od strane inozemnog isplatitelja mirovine.
(3) Porezni obveznik iz stavka 1. ovoga članka, obvezan je nadležnoj ispostavi Porezne uprave do 31. siječnja tekuće godine za prethodnu godinu prijaviti promjenu visine mirovine ako je promijenjeni iznos inozemne mirovine veći ili manji za 20% u odnosu na iznos inozemne mirovine na temelju kojeg je izdano rješenje iz stavka 1. ovoga Pravilnika.
(4) U slučaju iz stavka 3. ovoga članka Porezna uprava će nakon provedenoga postupka donijeti novo rješenje o utvrđenom mjesečnom predujmu i razlici poreza za povrat ili uplatu za prethodno razdoblje. Razliku poreza za uplatu porezni obveznik obvezan je platiti u roku 15 dana od dana dostave rješenja.
DIO ČETVRTI
EVIDENCIJE I IZVJEŠĆA
POGLAVLJE I.
EVIDENCIJE
Evidencija o isplaćenim stipendijama
Članak 13.
(1) Isplatitelji stipendija iz članka 9. stavka 1. točke 19. Zakona obvezni su voditi evidenciju o dodijeljenim stipendijama iz članka 4. stavka 3. ovoga Pravilnika za pojedinu akademsku godinu, koja sadrži podatke o:
1. isplatitelju stipendije:
– naziv
– osobni identifikacijski broj i
– adresu sjedišta isplatitelja stipendije
2. primatelju stipendije
– ime i prezime
– osobni identifikacijski broj
– adresa prebivališta/uobičajenog boravišta primatelja stipendije,
3. nazivu i adresi visokog učilišta kojeg primatelj stipendije pohađa
4. iznosu stipendije
5. troškovima koji su pokriveni stipendijom, a osobito:
– vrsta troškova koji se pokrivaju stipendijom
– iznos posebno za svaku vrstu troška
– neiskorišteni iznos stipendije.
(2) Pravo na neoporezivu isplatu stipendije isplatitelji dokazuju vjerodostojnim ispravama (potvrdama o uplati školarine i smještaja, računima za prijevozne troškove, potvrdama o upisu na visoko učilište, potvrdama o statusu redovnog studenta i drugim ispravama).
(3) Isplatitelji stipendija iz članka 9. stavka 1. točke 19. Zakona obvezni su voditi evidencije iz stavka 1. ovoga članka na Obrascu ST – »Evidencija o isplaćenim stipendijama za akademsku godinu ______«. Obrazac ST dostavlja se Poreznoj upravi na njezin zahtjev. Osim podataka iz Obrasca ST isplatitelji stipendija su obvezni osigurati i podatke o adresi primatelja stipendije tijekom školovanja, godini upisa, razdoblju za koje se stipendija dodjeljuje te broju i nadnevku odluke temeljem koje se dodjeljuje stipendija, nadnevku isplate stipendije i druge podatke.
(4) Stavci 2. i 3. ovoga članka primjenjuju se i na stipendije i primitke iz članka 9. stavka 1. točke 23. Zakona pri čemu su isplatitelji obvezni Obrazac ST prilagoditi nazivima ako se primici isplaćuju osobama koje nisu u statusu studenta: znanstveno-nastavno zvanje upisuje se uz ime primatelja, umjesto iznosa stipendije navodi se iznos isplaćenih primitaka, umjesto visokog učilišta naziv institucije u kojem se primatelj školuje ili usavršava odnosno obavlja znanstveno – istraživački projekt i drugo.
(5) Evidencija iz stavka 3. ovoga članka sastavni je dio ovoga Pravilnika.
Evidencija o uplaćenim premijama dobrovoljnog mirovinskog osiguranja
Članak 14.
(1) Poslodavci su obvezni voditi evidenciju o uplaćenim premijama dobrovoljnoga mirovinskog osiguranja iz članka 3. stavka 11. ovoga Pravilnika i Poreznoj upravi dostavljati propisani obrazac prema stavcima 2. i 3. ovoga članka.
(2) Poslodavci i isplatitelji primitka (plaće) te porezni obveznici koji obavljaju samostalnu djelatnost iz članka 21. Zakona, koji su uplaćivali premije dobrovoljnoga mirovinskog osiguranja na svoj teret u korist radnika, odnosno sebe osobno ako dohodak ostvaruju obavljanjem samostalne djelatnosti iz članka 21. Zakona, tuzemnom dobrovoljnom mirovinskom fondu, a koje su bile oslobođene od plaćanja poreza na dohodak prema članku 9. stavku 1. točki 18. Zakona i članku 3. stavku 12. ovoga Pravilnika, obvezni su nakon proteka poreznog razdoblja, a najkasnije do kraja mjeseca veljače iduće godine, Poreznoj upravi dostaviti podatke o tim premijama, na propisanom obrascu.
(3) Obrazac iz stavka 2. ovoga članka sadrži podatke o:
1. podnositelju izvješća:
– ime i prezime
– adresu i
– osobni identifikacijski broj
2. radniku – članu fonda
– ime i prezime
– osobni identifikacijski broj i
– adresu
3. mirovinskom osiguravajućem društvu
– naziv
– osobni identifikacijski broj društva za upravljanje dobrovoljnim mirovinskim fondovima
– adresu
4. broju i nadnevku ugovora
5. iznosu ugovorene premije
6. iznosu uplaćene premije u poreznom razdoblju i
7. iznosu uplaćene premije koja je u tom poreznom razdoblju bila oslobođena od plaćanja poreza na dohodak.
(4) Obrazac iz stavka 2. ovoga članka sastavni je dio ovoga Pravilnika.
POGLAVLJE II.
IZVJEŠĆE O PRIMICIMA, POREZU NA DOHODAK I PRIREZU TE DOPRINOSIMA ZA OBVEZNA OSIGURANJA – OBRAZAC JOPPD
Obveznici podnošenja i način podnošenja izvješća
Članak 15.
(1) U skladu s člankom 27. stavkom 2., člankom 41. stavkom 2., člankom 63. stavkom 2., člankom 71. stavkom 2., člankom 74. stavkom 2. i člankom 85. stavkom 6. Zakona, podatke o primicima, porezu na dohodak i prirezu te doprinosima za obvezna osiguranja putem Izvješća o primicima, porezu na dohodak i prirezu te doprinosima za obvezna osiguranja – Obrazac JOPPD (dalje u tekstu: Obrazac JOPPD) dostavljaju isplatitelji primitaka i/ili sami porezni obveznici i/ili ostali obveznici sukladno posebnim propisima za:
1. primitke od kojih se utvrđuje dohodak od nesamostalnog rada iz članka 21. Zakona
2. primitke od kojih se utvrđuje dohodak od imovinskih prava iz članka 56. Zakona i primitke od otuđenja posebnih vrsta imovine iz članka 59. Zakona
3. primitke od kojih se utvrđuje dohodak od kapitala iz članaka 64. Zakona, osim kapitalnih dobitaka po osnovi otuđenja udjela u kapitalu trgovačkog društva koji nisu prenosivi na tržištu kapitala u skladu s posebnim propisom
4. primitke od kojih se utvrđuje dohodak od osiguranja iz članka 72. Zakona
5. primitke od kojih se utvrđuje drugi dohodak iz članka 39. Zakona
6. primitke koji se ne smatraju dohotkom iz članka 8. Zakona, primitke na koje se ne plaća porez na dohodak iz članka 9. Zakona, primitke koji se ne smatraju primicima od nesamostalnog rada iz članka 22. stavaka 2 . i 3. Zakona, primitke fizičkih osoba po osnovi izravnih plaćanja u poljoprivredi sukladno posebnim propisima a po osnovi kojih se ne utvrđuje dohodak sukladno članku 29. stavku 3. Zakona i/ili
7. obveznici obračunavanja doprinosa koji, sukladno Zakonu o doprinosima imaju obvezu Poreznoj upravi dostavljati izvješća o vrsti i iznosu obveze doprinosa, osnovici prema kojoj su doprinosi obračunani, razdoblju na koje se obveza odnosi, osiguranicima koji koriste određena prava iz osiguranja prema posebnim propisima i o drugim podacima.
(2) Obvezu podnošenja Obrasca JOPPD o vrsti prava, razdoblju korištenja prava i/ili o iznosu naknade plaće isplaćene na teret sredstava nositelja osiguranja ili na teret sredstava državnog proračuna, sukladno odredbi članka 182. stavku 3. Zakona o doprinosima imaju i poslodavci, odnosno osobe koje su obveznici doprinosa te obveznici obračunavanja i plaćanja doprinosa.
(3) Osiguranici po osnovi obavljanja samostalne djelatnosti od koje utvrđuju dobit te tu djelatnost obavljaju u supoduzetništvu, izvješće na Obrascu JOPPD sastavljaju i podnose Poreznoj upravi za svakog supoduzetnika.
(4) Porezni obveznici koji obavljaju samostalne djelatnosti, prilikom iskazivanja podataka o iznosu isplaćenih neoporezivih primitaka za njih osobno, koriste istovrsne oznake iz Priloga 4. Obrasca JOPPD »Neoporezivi primici/primici koji se ne smatraju dohotkom«, kao što je predviđeno za radnike.
(5) U slučaju kada se dostavlja izvješće na Obrascu JOPPD za više od 3 porezna obveznika odnosno fizičke osobe i/ili kada je podnositelj izvješća korisnik sustava elektroničkog servisa Porezne uprave ePorezna, isplatitelj odnosno podnositelj izvješća obvezno podnosi podatke iz Obrasca JOPPD elektroničkim putem u okviru sustava ePorezna na način propisan posebnim propisima te tehničkim i ostalim uputama.
(6) Obrazac JOPPD koji se ne podnosi elektroničkim putem u okviru sustava ePorezna dostavlja se nadležnoj ispostavi Porezne uprave prema sjedištu, odnosno prebivalištu ili uobičajenom boravištu isplatitelja, odnosno prema prebivalištu ili uobičajenom boravištu poreznog obveznika ako je sam obveznik dostavljanja Obrasca JOPPD. Obrazac JOPPD može se dostaviti ispisan putem računala, uz uvjet da sadržajem i oblikom u cijelosti odgovara obrascu koji je propisan ovim Pravilnikom.
(7) Obrazac JOPPD potpisuje ovlaštena osoba podnositelja izvješća, koja svojim potpisom ili naprednim elektroničkim potpisom jamči za istinitost i točnost iskazanih podataka.
(8) U slučaju više ispravaka odnosno dopuna izvornog Obrasca JOPPD koji je podnesen u okviru sustava ePorezna obračunskom prijavom, u smislu odredbi propisa koji uređuje opći porezni postupak, smatra se izvorni Obrazac JOPPD u kojem su generirani svi podaci iskazani na izvornom Obrascu JOPPD te svi naknadni ispravci i dopune koji su uredno zaprimljeni i obrađeni u informacijskom sustavu Porezne uprave.
(9) Podaci o isplaćenim primicima, obračunanim i uplaćenim doprinosima za obvezna osiguranja te obračunanom porezu na dohodak i prirezu poreza na dohodak dostavljaju se Poreznoj upravi za potrebe registra poreznih obveznika te ostalih potreba Porezne uprave kao i za potrebe Središnjeg registra osiguranika.
(10) Za sve uplate koje nisu vezane uz oznaku izvješća Obrasca JOPPD podnositelj izvješća odnosno isplatitelj obvezan je podnijeti specifikaciju rasporeda uplata.
(11) »Izvješće o primicima, porezu na dohodak i prirezu te doprinosima za obvezna osiguranja na dan ______ » – Obrazac JOPPD te prilozi Obrasca JOPPD: 1. »Podnositelj izvješća«, 2. »Stjecatelj primitka/osiguranik«, 3. »Primici/obveze doprinosa«, 4. »Neoporezivi primici/primici koji se ne smatraju dohotkom« i 5. Način isplate/izvršenja obveze, sastavni su dio ovoga Pravilnika.
Iznimke u izvješćivanju
Članak 16.
(1) Iznimno od članka 15. stavaka 1. i 2. ovoga Pravilnika Obrazac JOPPD ne podnose isplatitelji, odnosno sami porezni obveznici za:
1. izravne uplate premije osiguranja za dokup dijela doživotne mirovine određene prema zakonu kojim se uređuje mirovinsko osiguranje kojeg bi osiguranik ostvario da je navršio određenu starosnu dob i/ili određeni mirovinski staž, a koje se određuju i isplaćuju u mjesečnim obrocima, kao dokupljena mirovina iz članka 8. stavka 1. točke 1. Zakona
2. državne nagrade ustanovljene propisima koje donosi Hrvatski sabor i Vlada Republike Hrvatske, nagrade jedinica lokalne i područne (regionalne) samouprave propisane statutom tih jedinica i novčane nagrade za osvojenu medalju na olimpijskim igrama, paraolimpijskim igrama i olimpijskim igrama gluhih te svjetskim i europskim prvenstvima planirane za te namjene u državnom proračunu Republike Hrvatske i proračunima jedinica lokalne i područne (regionalne) samouprave iz članka 8. stavka 1. točke 3. Zakona i nagrade učenicima i studentima iz članka 9. stavka 1. točke 5. Zakona
3. primici koje fizičke osobe ostvaruju po osnovi darovanja pravnih i fizičkih osoba, a za zdravstvene potrebe (operativne zahvate, liječenja, nabavu lijekova i ortopedskih pomagala), rješavanje kojih nije plaćeno osnovnim, dopunskim, dodatnim i privatnim zdravstvenim osiguranjem niti na teret sredstava fizičke osobe, a pod uvjetom da je darovanje, odnosno plaćanje nastalih izdataka za tu namjenu obavljeno na žiroračun primatelja dara ili zdravstvene ustanove te na temelju vjerodostojnih isprava iz članka 8. stavka 1. točke 4. Zakona
4. potpore zbog uništenja i oštećenja imovine zbog elementarnih nepogoda iz članka 8. stavka 2. točke 1. podtočke a) Zakona
5. socijalne potpore iz članka 8. stavka 2. točke 1. podtočke b) koje se daju u naravi
6. potpore iz članka 8. stavka 2. točke 9. Zakona koje se daju u naravi
7. potpore zbog uništenja i oštećenja imovine zbog ratnih događaja i elementarne nepogode iz članka 8. stavka 2. točke 1. podtočke e) i članka 8. stavka 2. točke 2. Zakona
8. nasljedstva i darove iz članka 8. stavka 2. točke 3. Zakona
9. primici od otuđenja osobne imovine, osim imovine iz članka 59. Zakona
10. odštete koje nisu u svezi s gospodarstvenom djelatnošću iz članka 8. stavka 2. točke 5. Zakona
11. primitke ostvarene na nagradnim natječajima ili natjecanjima, raspisanim pod jednakim uvjetima uz mogućnost sudjelovanja svih osoba i dozvoljenim igrama na sreću prema posebnom zakonu iz članka 8. stavka 2. točke 6. Zakona
12. uplaćene premije osiguranja po osnovi ugovora o osiguranju života i dobrovoljnog mirovinskog osiguranja koje nisu bile porezno priznati izdatak
13. premije dobrovoljnoga mirovinskog osiguranja iz članka 9. stavka 1. točke 18. Zakona
14. pomorski dodatak na brodovima međunarodne plovidbe iz članka 9. točke 10. Zakona
15. naknade troškova vezanih uz službena putovanja koji se sukladno odredbama članka 9. Zakona smatraju primicima na koje se ne plaća porez na dohodak, osim isplate u novcu dnevnica i/ili naknade za korištenje privatnog automobila u službene svrhe i/ili
16. primitke koji se ne smatraju dohotkom i/ili na koje se ne plaća porez na dohodak i/ili koji ne podliježu obvezi doprinosa, a nisu navedeni u prilogu 4. Obrasca JOPPD.
(2) Porezna uprava može zatražiti dostavu podataka o primicima iz stavka 1. ovoga članka te o ostalim primicima.
Rokovi dostave
Članak 17.
(1) Isplatitelji primitaka, obveznici obračunavanja i plaćanja doprinosa i/ili sami porezni obveznici Obrazac JOPPD podnose Poreznoj upravi na dan isplate primitka, odnosno na dan dospijeća obveze uplate poreza na dohodak ili na dan kada se doprinosi obvezno obračunavaju i uplaćuju sukladno posebnim propisima, ili najkasnije slijedeći radni dan.
(2) Na način iz stavka 1. ovoga članka obvezni su postupiti poslodavci i isplatitelji za podatke o kamati za doprinose za mirovinsko osiguranje na temelju individualne kapitalizirane štednje koja je naplaćena zbog nepravovremene uplate dospjele obveze.
(3) Obveznici obračunavanja i plaćanja doprinosa dostavljaju Obrazac JOPPD o obvezi doprinosa (iz i na osnovicu) prema osnovici utvrđenoj temeljem sudske presude, za razdoblja koja se ne odnose na staž osiguranja tekuće kalendarske godine ili se ne pripisuju stažu osiguranja tekuće kalendarske godine, prema članku 433.a Zakona o parničnom postupku, nagodbe u tijeku sudskog postupka, nagodbe sklopljene s nadležnim državnim odvjetništvom u postupcima za mirno rješenje spora, nagodbe sklopljene u postupku mirenja u individualnim radnim sporovima prema Zakonu o mirenju na dan pravomoćnosti odluke ili najkasnije sljedeći radni dan.
(4) Iznimno od stavka 1. ovoga članka, Obrazac JOPPD prema drugom dohotku koji je poslodavac isplatio ili dao sezonskom radniku na privremenim, odnosno povremenim poslovima u poljoprivredi sukladno Zakonu o poticanju zapošljavanja, odnosno prema ostvarenom dohotku od posebnih vrsta imovine dostavlja se do posljednjeg dana u mjesecu u kojem je primitak ostvaren, odnosno isplaćen ili najkasnije slijedeći radni dan.
(5) Iznimno od stavka 1. ovoga članka za oporezive primitke i/ili primitke prema kojima postoji obveza doprinosa ostvarenim u naravi Obrazac JOPPD dostavlja se do 15. dana u mjesecu koji slijedi nakon mjeseca u kojem je primitak ostvaren.
(6) Iznimno od stavka 1. ovoga članka, isplatitelj neoporezivih primitaka iz članka 15. stavka 1. točke 6. ovoga Pravilnika, odnosno porezni obveznik sam za sebe ako je neoporeziv primitak iz članka 15. stavka 1. točke 6. ovoga Pravilnika ostvario izravno iz inozemstva ili u inozemstvu te izravno od fizičkih osoba koje ne obavljaju samostalnu djelatnost iz članka 29. Zakona, podnosi zbirno izvješće putem Obrasca JOPPD za sve isplate u tijeku jednog mjeseca po istoj osnovi po pojedinom poreznom obvezniku, odnosno fizičkoj osobi, najkasnije do petnaestog dana u mjesecu za primitak koji je ostvaren, odnosno isplaćen u prethodnom mjesecu, osim ako nije izvješteno na način propisan stavkom 7. ovoga članka.
(7) Podaci o neoporezivim primicima osim na način propisan stavkom 6. ovoga članka mogu se iskazivati i pojedinačno na Obrascu JOPPD na dan isplate.
(8) Na način propisan stavcima 6. i 7. ovoga članka obvezni su postupiti i poslodavci odnosno osobe koje su obveznici doprinosa te obveznici obračunavanja i plaćanja doprinosa za svoje radnike i/ili za svoje osobno osiguranje za vrijeme korištenja prava iz osiguranja sukladno članku 182. stavku 3. Zakona o doprinosima.
(9) Primici po osnovi dnevnica i/ili naknade za korištenje privatnog automobila u službene svrhe isplaćeni za službena putovanja iskazuju se na Obrascu JOPPD prema konačnom obračunu tih primitaka.
(10) Obrazac JOPPD o neoporezivim primicima i/ili oporezivim primicima i/ili primicima prema kojima postoji obveza doprinosa koji su ostvareni u naravi, a koji su isplaćeni i/ili ostvareni u mjesecu prosincu prethodne godine, dostavljaju se do 15. siječnja tekuće godine, ali s danom i oznakom izvješća dana 31. prosinca prethodne godine.
(11) Iznimno od stavka 1. ovoga članka, isplatitelji primitaka po osnovi ugovora o osiguranju života i dobrovoljnog mirovinskog osiguranja iz članka 8. stavka 3. Zakona, podnose Poreznoj upravi zbirno godišnje izvješće putem Obrasca JOPPD za sve isplate u tijeku poreznog razdoblja, po istoj osnovi, po pojedinoj fizičkoj osobi i to najkasnije do kraja veljače tekuće godine za prethodnu godinu, s danom i oznakom izvješća dana 31. prosinca prethodne godine
(12) Primicima iz stavka 11. ovoga članka, za potrebe izvješćivanja, smatraju se primici po osnovi osiguranja (osigurane svote), pripisane dobiti po određenoj polici i svi ostali primici koji su vezani uz policu osiguranja, a koje osiguravatelj isplaćuje osiguranoj osobi odnosno drugoj osobi (nasljednicima ili trećoj osobi ukoliko je tako ugovoreno policom osiguranja) po dospijeću ili prekidu police ili po nastupu osiguranog slučaja, umanjeni za uplaćene premije osiguranja.
(13) Podaci o primicima po osnovi kamata koji sukladno odredbama Zakona ili ugovorima o izbjegavanju dvostrukog oporezivanja ne podliježu oporezivanju dostavljaju se i za rezidente Republike Hrvatske i rezidente zemalja izvan Europske unije, na način, prema vrstama i u roku sukladno propisu kojim je uređena administrativna suradnja u području poreza, u ukupnom iznosu na godišnjoj razini po pojedinoj fizičkoj osobi, ukoliko nisu dostavljeni na način propisan stavcima 6 ili 7. ovoga članka.
(14) Porezni obveznik – imatelj financijske imovine Obrazac JOPPD dostavlja do posljednjeg dana mjeseca veljače tekuće godine, s danom i oznakom izvješća dana 31. prosinca prethodne godine, za sve kapitalne dobitke ostvarene u prethodnoj godini umanjene za ostvarene kapitalne gubitke iz članka 67. stavka 11. ovoga Zakona., uključujući i kapitalne dobitke ostvarene od otuđenja financijske imovine (ako to nije djelatnost poreznog obveznika) stečene prije 1. siječnja 2016. godine i kapitalne dobitke koji ne podliježu oporezivanju.
(15) Iznimno od stavka 14. ovoga članka, Obrazac JOPPD u ime i za račun poreznog obveznika – imatelja financijske imovine može dostaviti financijski posrednik iz članka 70. stavka 7. Zakona ili u slučaju propisanom člankom 70 stavkom 8. Zakona, Središnje klirinško depozitarno društvo d.d..
(16) Prema primitku od kojeg se prema odredbama članka 25. stavka 5. Zakona predujam poreza na dohodak od nesamostalnog rada obračunava i dospijeva na naplatu istodobno s nastankom obveze dostave obračuna radniku o dospjelom, a neisplaćenom primitku, Obrazac JOPPD dostavlja se danom nastanka obveze poreza na dohodak i doprinosa na način da se na stranici B pod 11. unosi iznos ukupno obračunatog primitka prema obračunskoj listi izdanoj sukladno odredbama propisa koji uređuje područje rada, pod 12. unosi se iznos osnovice za obračun doprinosa iskazane u obračunskoj listi, pod 12.1. do 12.9. unosi se iznos obračunanog doprinosa (ovisno o vrsti obračuna), pod 13.1. unosi se 0,00, pod 13.2. unosi se iznos obračunanog i plaćenog doprinosa iz osnovice, pod 13.3. unosi se iznos obračunanog dohotka, pod 13.4. unosi se iznos utvrđenog osobnog odbitka, pod 13.5. unosi se iznos utvrđene porezne osnovice, a pod 14.1. i 14.2. unosi se iznos obračunanog poreza na dohodak i prireza poreza na dohodak. Podaci od 15.1. do 16.2. obvezno se popunjavaju sa 0 odnosno 0,00, a pod 17. se upisuje ukupan iznos obračunanog primitka od nesamostalnog rada iz obračunske isprave. Podaci na stranici A obrasca JOPPD i ostali nenavedeni podaci popunjavaju se sukladno odredbama ovoga Pravilnika.
(17) U slučaju naknade isplate plaće iz stavka 16. ovoga članka, na stranici B Obrasca JOPPD pod 11. unosi se iznos primitka koji je isplaćen, podaci od 12. do 13.1 popunjavaju se sa 0,00, pod 13.2. unosi se iznos obračunanog i plaćenog doprinosa iz osnovice, razmjerno primitku pod 11. (11*20%), pod 13.3. unosi se iznos dohotka, pod 13.4 do 14.2. unosi se obvezno 0,00, pod 15.1 unosi se oznaka 59, pod 15.2 unosi se iznos poreza na dohodak i prireza porezu na dohodak razmjeran isplaćenom dohotku, pod 16.2. unosi se iznos za isplatu (13.2-15.2). Podaci na stranici A obrasca JOPPD i ostali nenavedeni podaci popunjavaju se sukladno odredbama ovoga Pravilnika.
(18) U slučaju iz stavka 17. ovoga članka, Obrazac JOPPD se dostavlja do 15. dana u mjesecu koji slijedi nakon mjeseca isplate, odnosno za isplatu plaće u mjesecu prosincu prethodne godine do 15. siječnja tekuće godine, ali s danom i oznakom izvješća dana 31. prosinca prethodne godine.
Sadržaj i način popunjavanja
Članak 18.
Obrazac JOPPD sadrži podatke o:
1. svim fizičkim osobama koje su tijekom izvještajnog razdoblja (dan, mjesec, godina) ostvarile primitke iz članka 15. stavka 1. ovoga Pravilnika, o visini primitaka te o obračunanom i uplaćenom porezu na dohodak, prirezu poreza na dohodak, doprinosima za obvezna osiguranja i druge podatke
2. svim fizičkim osobama za koje su tijekom izvještajnog razdoblja (dan, mjesec, godina) utvrđene osnovice za obračun doprinosa, koje su koristile određena prava iz osiguranja prema posebnim propisima, podatke o iznosu doprinosa i druge podatke.
Članak 19.
Obrazac JOPPD sastoji se od stranice A i stranice B.
Stranica A Obrasca JOPPD
Članak 20.
(1) Na stranicu A upisuju se sljedeći podaci: oznaka izvješća, vrsta izvješća, podnositelj izvješća, obveznik plaćanja, broj fizičkih osoba za koje se podnosi izvješće, broj redaka na popisu pojedinačnih obračuna sa stranice B Obrasca JOPPD, ukupan iznos obračunanog predujma poreza na dohodak i prireza porezu na dohodak, ukupan iznos obračunanog doprinosa, naplaćena kamata za doprinose za mirovinsko osiguranje na temelju individualne kapitalizirane štednje koja je nastala zbog nepravovremene uplate dospjele obveze,
ukupan iznos neoporezivih primitaka isplaćenih fizičkim osobama – nerezidentima Republike Hrvatske koje isplaćuje neprofitna organizacija do propisanog iznosa i/ili broj osoba s invaliditetom koje je porezni obveznik bio dužan zaposliti sukladno odredbama Zakona o profesionalnoj rehabilitaciji i zapošljavanju osoba s invaliditetom u obračunskom razdoblju i iznos obračunane naknade.
(2) Pod oznakom izvješća (pod I.) upisuje se oznaka izvješća u obliku GG001 do GG365(366), a sastoji se od kombinacije oznake zadnje dvije znamenke godine i rednog broja dana u godini u kojem je dospjela obveza poreza na dohodak i/ili rednog broja dana u godini u kojem su obračunani i uplaćeni doprinosi ili rednog broja dana u godini na koji je podnesen Obrazac JOPPD (s tim da ako se Obrazac JOPPD podnosi nakon posljednjeg dana u mjesecu isplate, upisuje se oznaka za posljednji dan u mjesecu isplate). Svaki dan u godini ima svoju oznaku te se oznaka izvješća ne može ponavljati.
(3) Pod vrstom izvješća (pod II.) upisuje se:
1. oznaka 1 kada se podnosi prvo redovno (izvorno) izvješće 2. oznaka 2 kada se podnosi ispravak već podnesenog izvješća koje je zaprimljeno od nadležne ispostave Porezne uprave pod oznakom 1
3. oznaka 3 kada se dopunjuju podaci iskazani na izvješću pod oznakom 1
4. oznaka 4 kada se iskazuju podaci pod IX. i X. stranice A
5. oznaka 5 kada poslovna banka podnosi izvješće o obračunanom i uplaćenom predujmu poreza na dohodak i prireza porezu na dohodak po osnovi dohotka od kamata, odnosno kada društva za upravljanje i/ili osobe koje temeljem ugovornog odnosa upravljaju financijskom imovinom poreznog obveznika i/ili subjekti za zajedničko upravljanje i/ili upravitelji potrfelja podnose izvješće o obračunanom i uplaćenom predujmu poreza na dohodak i prireza porezu na dohodak po osnovi dividendi ili udjela u dobiti, odnosno kamata ukoliko su od poreznog obveznika preuzeli tu obvezu
6. oznaka 6 kada se podnosi ispravak već podnesenog izvješća pod oznakom 5 koje je zaprimljeno od nadležne ispostave Porezne uprave
7. oznaka 7 kada se dopunjuju podaci iskazani na izvješću pod oznakom 5
8. oznaka 8 kada fizička osoba podnosi izvješće o obračunanom i uplaćenom predujmu poreza na dohodak i prireza porezu na dohodak po osnovi dohotka ostvarenog izravno iz inozemstva i od organizacije iz članka 25. stavka 4. Zakona
9. oznaka 9 kada se podnosi ispravak već podnesenog izvješća pod oznakom 8 koje je zaprimljeno od nadležne ispostave Porezne uprave
10. oznaka 10 kada se dopunjuju podaci iskazani na izvješću pod oznakom 8
11. oznaka 11 kada fizička osoba i/ili financijski posrednik u ime i za račun poreznog obveznika podnosi izvješće o dohotku ostvarenom po osnovi kapitalnih dobitaka
12. oznaka 12 kada se podnosi ispravak već podnesenog izvješća pod oznakom 11 koje je zaprimljeno od nadležne ispostave Porezne uprave i/ili
13. oznaka 13 kada se dopunjuju podaci iskazani na izvješću pod oznakom 11.
(4) Oznaka 1 i/ili 5 i/ili 8 i/ili 11 pod vrstom izvješća može se upisati samo jednom za istu oznaku izvješća, istog podnositelja izvješća i istog obveznika plaćanja.
(5) Obrazac JOPPD vrste izvješća 4 podnosi se kao posebno izvješće, bez stranice B.
(6) Pod podacima o podnositelju izvješća (pod III.1.) upisuje se:
1. naziv/ime i prezime
2. adresa
3. adresa elektroničke pošte
4. OIB
5. oznaka podnositelja iz Priloga 1. Obrasca JOPPD »Podnositelj izvješća«. Podnositelj izvješća je isplatitelj primitka i/ili obveznik obračunavanja i plaćanja doprinosa, odnosno nositelj osiguranja i/ili sam porezni obveznik, osim za podnositelje pod oznakom 6 ili 7 ili 8 ili 9 ili 10 ili 11 ili 12 ili 13 iz Priloga 1. Obrasca JOPPD »Podnositelj izvješća«, za koje je podnositelj izvješća obveznik obračunavanja primitka i/ili obveznih doprinosa sukladno Zakonu o doprinosima ili platni agent ili financijski posrednik i/ili SKDD.
(7) Pod podacima o obvezniku plaćanja (pod III.2) upisuju se podaci o obvezniku plaćanja i to: naziv, adresa, adresa elektroničke pošte, OIB. Podatak o obvezniku plaćanja unosi se samo za podnositelje izvješća pod oznakom 6, 7, 8, 9, 10, 11, 12 ili 13 iz Priloga 1. Podnositelj izvješća, za ostale podnositelje podatak o obvezniku plaćanja istovjetan je podacima o podnositelju izvješća pod III.1. te se ova polja ne popunjavaju.
(8) Pod podacima o broju fizičkih osoba za koje se podnosi izvješće (pod IV.1) upisuju se podaci o broju fizičkih osoba za koje se podnosi izvješće.
(9) Pod podacima o broju redaka na popisu pojedinačnih obračuna sa stranice B Obrasca JOPPD (pod IV.2.) upisuje se broj redaka na popisu pojedinačnih obračuna sa stranice B Obrasca JOPPD.
(10) Pod podacima o ukupnom iznosu obračunanog predujma poreza na dohodak i prireza porezu na dohodak (pod V.) upisuju se slijedeći podaci i to:
1. ukupan iznos obračunanog predujma poreza na dohodak i prireza porezu na dohodak po osnovi nesamostalnog rada – zbroj redaka pod 1.1. i pod 1.2. sa stranice A Obrasca JOPPD (pod V.1)
2. ukupan iznos obračunanog predujma poreza na dohodak i prireza porezu na dohodak po osnovi nesamostalnog rada (plaća) – zbroj stupaca 14.1. i 14.2. sa stranice B Obrasca JOPPD pod oznakom stjecatelja primitka/osiguranika iz Priloga 2. Obrasca JOPPD »Obrasca JOPPD »Obrasca JOPPD »Stjecatelj primitka/osiguranik«: 0001 – 0039, 0201, 5403 (pod V. 1.1.)
3. ukupan iznos obračunanog predujma poreza na dohodak i prireza porezu na dohodak po osnovi nesamostalnog rada (mirovina) – zbroj stupaca 14.1. i 14.2. sa stranice B Obrasca JOPPD pod oznakom stjecatelja primitka/osiguranika iz Priloga 2. Obrasca JOPPD »Stjecatelj primitka/osiguranik«: 0101 – 0119, 0121 (pod V. 1.2.)
4. ukupan iznos obračunanog predujma poreza na dohodak i prireza porezu na dohodak po osnovi dohotka od kapitala – zbroj stupaca 14.1. i 14.2. sa stranice B Obrasca JOPPD pod oznakom stjecatelja primitka/osiguranika iz Priloga 2. Obrasca JOPPD »Stjecatelj primitka/osiguranik«: 1001-1004 (pod V. 1.2.)
5. ukupan iznos obračunanog predujma poreza na dohodak i prireza porezu na dohodak po osnovi dohotka od imovinskih prava i posebnih vrsta imovine – zbroj stupaca 14.1. i 14.2. sa stranice B Obrasca JOPPD pod oznakom stjecatelja primitka/osiguranika iz Priloga 2. Obrasca JOPPD »Stjecatelj primitka/osiguranik«: 2001-2009 (pod V. 1.3.)
6. ukupan iznos obračunanog predujma poreza na dohodak i prireza porezu na dohodak po osnovi dohotka od osiguranja – zbroj stupaca 14.1. i 14.2. sa stranice B Obrasca JOPPD pod oznakom stjecatelja primitka/osiguranika iz Priloga 2. Obrasca JOPPD »Stjecatelj primitka/osiguranik«: 3001-3009 (pod V. 1.4.)
7. ukupan iznos obračunanog predujma poreza na dohodak i prireza porezu na dohodak po osnovi primitka od kojeg se utvrđuje drugi dohodak – zbroj stupaca 14.1. i 14.2. sa stranice B Obrasca JOPPD pod oznakom stjecatelja primitka/osiguranika iz Priloga 2. Obrasca JOPPD »Stjecatelj primitka/osiguranik«: 4001-4002, 5501 (pod V. 1.5.)
8. ukupan iznos predujma poreza na dohodak i prireza porezu na dohodak po osnovi dohotka od kamata – zbroj stupaca 14.1. i 14.2. sa stranice B Obrasca JOPPD pod oznakom stjecatelja primitka/osiguranika iz Priloga 2. Obrasca JOPPD »Stjecatelj primitka/osiguranik«: 1101-1104 (pod V. 1.6.).
(11) Pod podacima o ukupnom iznosu obračunanog doprinosa (pod VI.) upisuju se slijedeći podaci i to:
1. doprinos za mirovinsko osiguranje na temelju generacijske solidarnosti (pod VI.1.)
1.1. ukupan iznos doprinosa za mirovinsko osiguranje na temelju generacijske solidarnosti po osnovi radnog odnosa – zbroj stupca 12.1. sa stranice B Obrasca JOPPD pod oznakom stjecatelja primitka/osiguranika iz Priloga 2. Obrasca JOPPD »Stjecatelj primitka/osiguranik«: 0001-0003, 0005-00011, 0021-0029, 5701-5799 (pod VI.1.1.)
1.2. ukupan iznos doprinosa za mirovinsko osiguranje na temelju generacijske solidarnosti po osnovi drugog dohotka – zbroj stupca 12.1. sa stranice B Obrasca JOPPD pod oznakom stjecatelja primitka/osiguranika iz Priloga 2. Obrasca JOPPD »Stjecatelj primitka/osiguranik«: 0201, 4002 (pod VI.1.2.)
1.3. ukupan iznos doprinosa za mirovinsko osiguranje na temelju generacijske solidarnosti po osnovi poduzetničke plaće – zbroj stupca 12.1. sa stranice B Obrasca JOPPD pod oznakom stjecatelja primitka/osiguranika iz Priloga 2. Obrasca JOPPD »Stjecatelj primitka/osiguranik«: 0031-0039 (pod VI.1.3.)
1.4. ukupan iznos doprinosa za mirovinsko osiguranje na temelju generacijske solidarnosti za osiguranike za koje se doprinos uplaćuje prema posebnim propisima – zbroj stupca 12.1. sa stranice B Obrasca JOPPD pod oznakom stjecatelja primitka/osiguranika iz Priloga 2. Obrasca JOPPD »Stjecatelj primitka/osiguranik«: 5401-5403, 5608 (pod VI.1.4.)
1.5. ukupan iznos posebnog doprinosa za mirovinsko osiguranje na temelju generacijske solidarnosti za osobe osigurane u određenim okolnostima – zbroj stupca 12.1 sa stranice B Obrasca JOPPD pod oznakom stjecatelja primitka/osiguranika iz Priloga 2. Obrasca JOPPD »Stjecatelj primitka/osiguranik«: 5302, 5501, 5604, 5606, 5607 (pod VI.1.5.)
1.6. ukupan iznos dodatnog doprinosa za mirovinsko osiguranje na temelju generacijske solidarnosti za staž osiguranja koji se računa s povećanim trajanjem – zbroj stupca 12.6. sa stranice B Obrasca JOPPD (pod VI.1.6.)
1.7. ukupan iznos doprinosa za mirovinsko osiguranje na temelju generacijske solidarnosti po osnovi obavljanja samostalne djelatnosti za osobe koje su same za sebe obvezni obračunati doprinose – zbroj stupca 12.1. sa stranice B Obrasca JOPPD pod oznakom stjecatelja primitka/osiguranika iz Priloga 2. Obrasca JOPPD »Stjecatelj primitka/osiguranik«: 0041-0049 (pod VI.1.7.)
2. doprinos za mirovinsko osiguranje na temelju individualne kapitalizirane štednje (pod VI.2.)
2.1. ukupan iznos doprinosa za mirovinsko osiguranje na temelju individualne kapitalizirane štednje po osnovi radnog odnosa – zbroj stupca 12.2. sa stranice B Obrasca JOPPD pod oznakom stjecatelja primitka/osiguranika iz Priloga 2. Obrasca JOPPD »Stjecatelj primitka/osiguranik«: 0001-0003, 0005-00011, 0021-0029, 5701-5799 (pod VI.2.1.)
2.2. ukupan iznos doprinosa za mirovinsko osiguranje na temelju individualne kapitalizirane štednje po osnovi drugog dohotka – zbroj stupca 12.2. sa stranice B Obrasca JOPPD pod oznakom stjecatelja primitka/osiguranika iz Priloga 2. Obrasca JOPPD »Stjecatelj primitka/osiguranik«: 0201, 4002 (pod VI.2.2.)
2.3. ukupan iznos doprinosa za mirovinsko osiguranje na temelju individualne kapitalizirane štednje po osnovi poduzetničke plaće – zbroj stupca 12.2. sa stranice B Obrasca JOPPD pod oznakom stjecatelja primitka/osiguranika iz Priloga 2. Obrasca JOPPD »Stjecatelj primitka/osiguranik«: 0031-0039 (pod VI.2.3.)
2.4. ukupan iznos doprinosa za mirovinsko osiguranje na temelju individualne kapitalizirane štednje za osiguranike za koje se doprinos uplaćuje prema posebnim propisima – zbroj stupca 12.2. sa stranice B Obrasca JOPPD pod oznakom stjecatelja primitka/osiguranika iz Priloga 2. Obrasca JOPPD »Stjecatelj primitka/osiguranik«: 5101-5103, 5201-5299, 5301, 5401-5403, 5608 (pod VI.2.4.)
2.5. ukupan iznos dodatnog doprinosa za mirovinsko osiguranje na temelju individualne kapitalizirane štednje za staž osiguranja koji se računa s povećanim trajanjem – zbroj stupca 12.7. sa stranice B Obrasca JOPPD (pod VI.2.5.)
2.6. ukupan iznos doprinosa za mirovinsko osiguranje na temelju individualne kapitalizirane štednje po osnovi obavljanja samostalne djelatnosti za osobe koje su same za sebe obvezne obračunati doprinose – zbroj stupca 12.2. sa stranice B Obrasca JOPPD pod oznakom stjecatelja primitka/osiguranika iz Priloga 2. Obrasca JOPPD »Stjecatelj primitka/osiguranik«: 0041-0049 (pod VI.2.6.)
3. doprinos za zdravstveno osiguranje (pod VI.3.)
3.1. ukupan iznos doprinosa za zdravstveno osiguranje po osnovi radnog odnosa – zbroj stupca 12.3. sa stranice B Obrasca JOPPD pod oznakom stjecatelja primitka/osiguranika iz Priloga 2. Obrasca JOPPD »Stjecatelj primitka/osiguranik«: 0001, 0005, 0008, 0009, 0021-0029, 5701-5799 (pod VI.3.1.)
3.2. ukupan iznos doprinosa za zaštitu zdravlja na radu po osnovi radnog odnosa – zbroj stupca 12.4. sa stranice B Obrasca JOPPD pod oznakom stjecatelja primitka/osiguranika iz Priloga 2. Obrasca JOPPD »Stjecatelj primitka/osiguranik«: 0001, 0005, 0008, 0009, 0021-0029, 5701-5799 (pod VI.3.2.)
3.3. ukupan iznos doprinosa za zdravstveno osiguranje po osnovi poduzetničke plaće – zbroj stupca 12.3. sa stranice B Obrasca JOPPD pod oznakom stjecatelja primitka/osiguranika iz Priloga 2. Obrasca JOPPD »Stjecatelj primitka/osiguranik«: 0031-0039 (pod VI.3.3.)
3.4. ukupan iznos doprinosa za zaštitu zdravlja na radu po osnovi poduzetničke plaće – zbroj stupca 12.4. sa stranice B Obrasca JOPPD pod oznakom stjecatelja primitka/osiguranika iz Priloga 2. Obrasca JOPPD »Stjecatelj primitka/osiguranik«: 0031-0039 (pod VI.3.4.)
3.5. ukupan iznos doprinosa za zdravstveno osiguranje po osnovi drugog dohotka – zbroj stupca 12.3. sa stranice B Obrasca JOPPD pod oznakom stjecatelja primitka/osiguranika iz Priloga 2. Obrasca JOPPD »Stjecatelj primitka/osiguranik«: 0201, 4002 (pod VI.3.5.)
3.6. ukupan iznos posebnog doprinosa za korištenje zdravstvene zaštite u inozemstvu – zbroj stupca 12.8. sa stranice B Obrasca JOPPD pod oznakom stjecatelja primitka/osiguranika iz Priloga 2. Obrasca JOPPD »Stjecatelj primitka/osiguranik«: 0001-0039, 5001-5009 i 5402 (pod VI.3.6.)
3.7. ukupan iznos dodatnog doprinosa za zdravstveno osiguranje za obveznike po osnovi korisnika mirovina – zbroj stupca 12.3. sa stranice B Obrasca JOPPD pod oznakom stjecatelja primitka/osiguranika iz Priloga 2. Obrasca JOPPD »Stjecatelj primitka/osiguranik«: 0101-0119 (pod VI.3.7.)
3.8. ukupan iznos doprinosa za zdravstveno osiguranje za osiguranike za koje se doprinos uplaćuje prema posebnim propisima – zbroj stupca 12.3. sa stranice B Obrasca JOPPD pod oznakom stjecatelja primitka/osiguranika iz Priloga 2. Obrasca JOPPD »Stjecatelj primitka/osiguranik«: 5401, 5403, 5601, 5602, 5603, 5605, 5608 (pod VI.3.8.)
3.9. ukupan iznos doprinosa za zaštitu zdravlja na radu za osiguranike za koje se doprinos uplaćuje prema posebnim propisima – zbroj stupca 12.4. sa stranice B Obrasca JOPPD pod oznakom stjecatelja primitka/osiguranika iz Priloga 2. Obrasca JOPPD »Stjecatelj primitka/osiguranik«: 5401, 5403, 5608 (pod VI.3.9.)
3.10. ukupan iznos posebnog doprinosa za zaštitu zdravlja na radu – za osobe osigurane u određenim okolnostima – zbroj stupca 12.4. sa stranice B Obrasca JOPPD pod oznakom stjecatelja primitka/osiguranika iz Priloga 2. Obrasca JOPPD »Stjecatelj primitka/osiguranik«: 5302, 5501, 5604, 5606, 5607 (pod VI.3.10.)
3.11. ukupan iznos doprinosa za zdravstveno osiguranje po osnovi obavljanja samostalne djelatnosti za osobe koje su same za sebe obvezne obračunati doprinose – zbroj stupca 12.3. sa stranice B Obrasca JOPPD pod oznakom stjecatelja primitka/osiguranika iz Priloga 2. Obrasca JOPPD »Stjecatelj primitka/osiguranik«: 0041-0049 (pod VI.3.11.)
3.12. ukupan iznos doprinosa za zaštitu zdravlja na radu po osnovi obavljanja samostalne djelatnosti za osobe koje su same za sebe obvezne obračunati doprinose – zbroj stupca 12.4. sa stranice B Obrasca JOPPD pod oznakom stjecatelja primitka/osiguranika iz Priloga 2. Obrasca JOPPD »Stjecatelj primitka/osiguranik«: 0041-0049 (pod VI.3.12.)
4. doprinos za zapošljavanje (pod VI.4.)
4.1. ukupan iznos doprinosa za zapošljavanje – zbroj stupca 12.5. sa stranice B Obrasca JOPPD (pod VI.4.1.)
4.2. ukupan iznos posebnog doprinosa za zapošljavanje osoba s invaliditetom – zbroj stupca 12.9. sa stranice B Obrasca JOPPD (pod VI.4.2.)
4.3. Ukupan iznos doprinosa za zapošljavanje po osnovi poduzetničke plaće – zbroj stupca 12.5. sa stranice B Obrasca JOPPD (pod VI.4.3.)
4.4. Ukupan iznos doprinosa za zapošljavanje po osnovi obavljanja samostalne djelatnosti za osobe koje su same za sebe obvezne obračunati doprinose – zbroj stupca 12.5. sa stranice B Obrasca JOPPD (pod VI.4.4.).
(12) Pod podacima o ukupnom iznosu isplaćenih neoporezivih primitaka upisuju zbroj stupca 15.2. sa stranice B Obrasca JOPPD (pod VII.).
(13) Pod podacima o naplaćenoj kamati za doprinose za mirovinsko osiguranje na temelju individualne kapitalizirane štednje koja je nastala zbog nepravovremene uplate dospjele obveze upisuje se zbroj stupca 12.2. sa stranice B Obrasca JOPPD pod oznakom 5721 iz Priloga 3. Obrasca JOPPD »Primici/obveze doprinosa« (pod VIII.).
(14) Pod podacima o ukupnom iznosu neoporezivih primitaka isplaćenih fizičkim osobama – nerezidentima Republike Hrvatske koje isplaćuje neprofitna organizacija do propisanog iznosa iskazuju se u ukupnom iznosu za isplaćene dnevnice i naknade za korištenje privatnog automobila u službene svrhe, te ostale isplaćene primitke navedene u prilogu 4. Obrasca JOPPD »Neoporezivi primici/primici koji se ne smatraju dohotkom«, ukoliko, prema posebnom propisu nije propisano da je uvjet za isplatu prethodno dodijeljen OIB, u izvještajnom razdoblju, nerezidentima Republike Hrvatske. Podaci se dostavljaju u rokovima dostave podataka o neoporezivim primicima (pod IX.).
(15) Pod podacima o naknadi utvrđenoj sukladno odredbama Zakona o profesionalnoj rehabilitaciji i zapošljavanju osoba s invaliditetom (pod X.) upisuju se slijedeći podaci i to:
1. broj osoba s invaliditetom koje je obveznik bio dužan zaposliti sukladno odredbama Zakona o profesionalnoj rehabilitaciji i zapošljavanju osoba s invaliditetom u obračunskom razdoblju (pod X.1.).
2. Iznos obračunane naknade – 30% od umnoška broja osoba s invaliditetom iskazanih pod X.1. i iznosa minimalne plaće za razdoblje na koje se obveza odnosi (pod X.2.).
Stranica B Obrasca JOPPD
Članak 21.
(1) Stranica B Obrasca JOPPD sadrži slijedeće podatke:
1. OIB podnositelja izvješća, a u slučaju da su na stranici A za podnositelja izvješća upisane oznake 6 ili 7 ili 8 ili 9 ili 10 ili 11 ili 12 ili 13 iz Priloga 1. Obrasca JOPPD »Podnositelj izvješća«, tada se upisuje OIB obveznika plaćanja (pod I.)
2. Oznaka izvješća – upisuje se istovjetna oznaka izvješća koja je upisana sa stranici A Obrasca JOPPD (pod II.)
3. Vrsta izvješća – upisuje se istovjetna oznaka vrste izvješća koja je upisana sa stranici A Obrasca JOPPD (pod III.)
4. Redni broj stranice koji se sastoji od broja trenutne stranice i ukupnog broja stranica (pod IV.)
5. Redni broj retka (pod 1.)
6. Šifra općine/grada prebivališta, odnosno uobičajenog boravišta. Za osobe koje nemaju prebivalište, odnosno uobičajeno boravište u Republici Hrvatskoj upisuju se prve dvije znamenke 99 te oznaka države rezidentnosti prema popisu koji se objavljuje na internet stranici Porezne uprave Republike Hrvatske (pod 2.)
7. Šifra općine/grada rada – unosi se za sljedeće skupine oznaka stjecatelja primitka/osiguranika iz Priloga 2. Obrasca JOPPD »Stjecatelj primitka/osiguranik«: 0001, 0002, 0003, 0008, 0009, 0010, 0021 – 0029, 0031 – 0039, 0041 – 0049, 5701 – 5799 te za stjecatelje neoporezivih primitaka što ih poslodavci isplaćuju svojim radnicima. Za stjecatelja primitka/osiguranika iz Priloga 2. Obrasca JOPPD »Stjecatelj primitka/osiguranik« pod oznakom 0005, 0006, 0007, 1003, 1004, 1103, 1104, 2003 i 2004, kao i za oznake primitka/obveze doprinosa iz Priloga 3. Obrasca JOPPD »Primici/obveze doprinosa«: 0335, 0501, 0502, 0503, 0504, 0505, 4025, 4026, 4038, 4039, 4040, 4041 upisuju se prve dvije znamenke 99 te oznaka države u kojoj je primitak ostvaren. Za oznake primitka/obveze doprinosa iz Priloga 3. Obrasca JOPPD »Primici/obveze doprinosa«: 0083, 0084, 0090, 0092, 0094, 0095, 4034, 4035, 4036, 4037 i za sve ostale oznake primitka/obveze doprinosa iz Priloga 3. Obrasca JOPPD »Primici/obveze doprinosa« ukoliko se primitak iskazuje na Obrascu JOPPD pod oznakom izvješća 8, 9 ili 10 upisuje se ili šifra općine grada/rada ili prve dvije znamenke 99 te oznaka države u kojoj je ostvaren primitak. Za ostale skupine stjecatelja primitka/osiguranika i stjecatelja neoporezivih primitaka/primitaka koji ne podliježu obvezi poreza na dohodak upisuje se 00000 (pod 3.)
8. OIB stjecatelja primitka, odnosno osiguranika (pod 4.)
9. Ime i prezime stjecatelja primitka, odnosno osiguranika (pod 5.)
10. Oznaka stjecatelja primitka, odnosno osiguranika – upisuju se oznake iz Priloga 2. Obrasca JOPPD »Stjecatelj primitka/osiguranik«, ili se upisuje oznaka 0000 kada se isplaćuje neoporezivi primitak po osnovi kojeg se ne utvrđuje obveza doprinosa za obvezna osiguranja, osim kod iskazivanja prava, odnosno isplate neoporezivog primitka po osnovi toga prava kada se upisuje oznaka korištenja prava, a koju poslodavac prikazuje samo ukoliko takvo pravo utječe na ukupan fond radnih sati u jednom mjesecu osiguranja. Kod iskazivanja neoporezivih primitaka/primitaka koji ne podliježu obvezi doprinosa, a koji su vezani uz oznake stjecatelja primitka/osiguranika iz Priloga 2. Obrasca JOPPD »Stjecatelj primitka/osiguranik«: 5201-5499 obvezno se upisuju navedene oznake (pod 6.1.)
11. Oznaka primitka/obveze doprinosa – upisuju se oznake iz Priloga 3. Obrasca JOPPD »Primici/obveze doprinosa«, ili se upisuje oznaka 0000 kada se isplaćuje neoporezivi primitak koji ne podliježe obvezi doprinosa za obvezna osiguranja i/ili kada izvješće o korištenju prava iz obveznih osiguranja podnosi poslodavac ili osigurana osoba sama za sebe (pod 6.2.)
12. Obveza dodatnog doprinosa za mirovinsko osiguranje za staž osiguranja s povećanim trajanjem (pod 7.1.)
– upisuje se:
0 – ukoliko podnositelj po osnovi isplaćenog primitka/obračunane naknade ili osnovice za obračun doprinosa nema obvezu obračuna dodatnog doprinosa za mirovinsko osiguranje za staž osiguranja s povećanim trajanjem
1 – ukoliko podnositelj po osnovi isplaćenog primitka/osnovice za obračun doprinosa ima obvezu obračuna dodatnog doprinosa za mirovinsko osiguranje za staž osiguranja s povećanim trajanjem kada se 12 mjeseci računa kao 14 mjeseci
2 – ukoliko podnositelj po osnovi isplaćenog primitka/osnovice za obračun doprinosa ima obvezu obračuna dodatnog doprinosa za mirovinsko osiguranje za staž osiguranja s povećanim trajanjem kada se 12 mjeseci računa kao 15 mjeseci
3 – ukoliko podnositelj po osnovi isplaćenog primitka/osnovice za obračun doprinosa ima obvezu obračuna dodatnog doprinosa za mirovinsko osiguranje za staž osiguranja s povećanim trajanjem kada se 12 mjeseci računa kao 16 mjeseci
4 – ukoliko podnositelj po osnovi isplaćenog primitka/osnovice za obračun doprinosa ima obvezu obračuna dodatnog doprinosa za mirovinsko osiguranje za staž osiguranja s povećanim trajanjem kada se 12 mjeseci računa kao 18 mjeseci
13. Obveza posebnog doprinosa za poticanje zapošljavanja osoba s invaliditetom (pod 7.2.).
– upisuje se:
0 – ukoliko podnositelj nije obveznik posebnog doprinosa za poticanje zapošljavanja osoba s invaliditetom,
1 – ukoliko je podnositelj obveznik posebnog doprinosa za poticanje zapošljavanja osoba s invaliditetom, po stopi od 0,1%
2 – ukoliko je podnositelj obveznik posebnog doprinosa za poticanje zapošljavanja osoba s invaliditetom, po stopi od 0,2%
14. Oznaka prvog/zadnjeg mjeseca u obveznom osiguranju po istoj osnovi (pod 8.)
– upisuje se:
0 – ukoliko po osnovi isplaćenog primitka/obračunane naknade ili osnovice za obračun doprinosa ne postoji obveza prethodnog obveznog osiguranja ili utvrđivanja prava po toj osnovi
1 – ukoliko je to prvi mjesec obveznog osiguranja/korištenja prava po osnovi za koju je izvršen obračun
2 – ukoliko je to zadnji mjesec obveznog osiguranja/korištenja prava po osnovi za koju je izvršen obračun
3 – ukoliko su to ostali mjeseci unutar obveznog osiguranja/korištenja prava po osnovi za koju je izvršen obračun
4 – ukoliko obvezno osiguranje/korištenje prava po osnovi za koju je izvršen obračun počinje i završava unutar jednog (izvještajnog) mjeseca
5 – ukoliko je obveza doprinosa nastala nakon prestanka obveznog osiguranja i ne odnosi se na određeni mjesec proveden u tom osiguranju
Oznake od 1 do 5 unose se za sve skupine stjecatelja primitka/osiguranika za koje se pod razdoblje za koje se obračunava obveza doprinosa i/ili razdoblje za koje se primitak isplaćuje (pod 10.1. i 10.2.) upisuje mjesec dana ili kraće od mjesec dana, te za ostale primitke od nesamostalnog rada iz članka 22. Zakona o doprinosima.
15. Oznaka punog, nepunog radnog vremena ili rada s polovicom radnog vremena (pod 9.)
– upisuje se:
0 – ukoliko ne postoji radno vrijeme
1 – ukoliko je osiguranik prijavljen na puno radno vrijeme
2 – ukoliko je osiguranik prijavljen na nepuno radno vrijeme
3 – za osobe koje rade s polovicom punog radnog vremena
Oznake od 1 do 3 unose se za sljedeće skupine oznaka stjecatelja primitka/osiguranika iz Priloga 2. Obrasca JOPPD »Stjecatelj primitka/osiguranik«: 0001-0019; 0021-0029; 0031-0039; 0041-0049; 5403;, 5701-5799, a oznaka 0 za sve ostale skupine oznaka stjecatelja primitka/osiguranika.
16. Ukupni sati rada prema kojima se radi obračun (pod 10.)
– upisuje se:
broj ukupno obračunanih sati rada za isplatu plaće, za slijedeće skupine oznaka stjecatelja primitka/osiguranika iz Priloga 2. Obrasca JOPPD »Stjecatelj primitka/osiguranik«: 0001-0019, 0021-0029, 0031-0039, 0041-0049, 5701-5799, a kada izvješće o korištenju prava iz obveznih osiguranja podnosi poslodavac, odnosno osoba koja je obveznik doprinosa, te obveznik obračunavanja i obveznik plaćanja doprinosa upisuje se broj obračunanih sati rada za vrijeme korištenja prava. Oznaka 0 upisuje se za sve ostale skupine oznaka stjecatelja primitka/osiguranika. Obračunani sati rada za pojedini mjesec iskazuju se samo jednom, kod isplate redovne plaće odnosno obračuna obveznih doprinosa, a kod svih ostalih isplata u tijeku jednog mjeseca (za ostale primitke koji se isplaćuju uz plaću, za isplatu određenog primitka u naravi i drugo) ne upisuje se broj sati rada, odnosno upisuje se 0. Za oznake stjecatelja primitka/osiguranika iz Priloga 2. Obrasca JOPPD »Stjecatelj primitka/osiguranik«: 0031-0039, 0041-0049 i 5701-5799 upisuje se stvarni broj dana provedenih u osiguranju po toj osnovi – unutar toga (izvještajnog) mjeseca, bez umanjenja za blagdane, neradne dane, bolovanje na teret osiguranika i slično. U slučaju iskazivanja korištenja prava na naknadu plaće za vrijeme bolovanja stjecatelja primitka/osiguranika iz Priloga 2. Obrasca JOPPD »Stjecatelj primitka/osiguranik«: 5201 i/ili 5202 i/ili 5205 i/ili 5206 i/ili 5207 i/ili 5208 i/ili 5209 osiguranici koji obavljaju samostalnu djelatnost i po toj osnovi obveznici su poreza na dohodak ili poreza na dobit, odnosno poslodavci za osiguranike po osnovi stručnog osposobljavanja za rad bez zasnivanja radnog odnosa upisuju stvarne dane mirovanja obveze doprinosa
17. Ukupni neodrađeni sati rada (pod 10.0.): predstavljaju dio broja ukupno obračunanih sati rada za isplatu plaće sati, a koje se odnose na plaćene, a neodrađene sate rada (sati bolovanja na teret poslodavca, sati plaćenog dopusta, neodrađenih, a plaćenih sati za blagdane, praznike i slično). Kada izvješće o korištenju prava iz obveznih osiguranja podnosi poslodavac, odnosno osoba koja je obveznik doprinosa te obveznik obračunavanja i plaćanja upisuje se ukupan broj obračunanih sati rada za vrijeme korištenja prava. Oznaka 0 upisuje se za sve ostale skupine oznaka stjecatelja primitka/osiguranika. Za oznake stjecatelja primitka/osiguranika iz Priloga 2. Obrasca JOPPD »Stjecatelj primitka/osiguranik«: 0031-0039,0041-0049, i 5701-5799 upisuje se 0, osim u slučaju mirovanja obveze doprinosa iz Priloga 2. Obrasca JOPPD »Stjecatelj primitka/osiguranik«: 5201 i/ili 5202 i/ili 5205 i/ili 5206 i/ili 5207 i/ili 5208 i/ili 5209 koje je kraće od mjesec dana ili korištenja prava na rad s polovicom punog radnog vremena kada se upisuju stvarni dani korištenja prava. U slučaju iskazivanja razdoblja osiguranja u kojem koriste pravo na naknadu plaće za vrijeme bolovanja, osiguranici koji obavljaju samostalnu djelatnost i po su toj osnovi obveznici poreza na dohodak ili poreza na dobit odnosno poslodavci za osiguranike po osnovi stručnog osposobljavanja za rad bez zasnivanja radnog odnosa upisuju isti broj dana kao i pod 10. B strane Obrasca JOPPD
18. Razdoblje za koje se obračunava obveza doprinosa i/ili razdoblje za koje se primitak isplaćuje odnosno u kojem se isplaćuje (pod 10.1. i 10.2.). Razdoblje može biti:
18.1. mjesec dana ili kraće od mjesec dana ako u jednom mjesecu počinje i/ili završava razdoblje osiguranja prema istoj osnovi osiguranja, što se upisuje u formatu od DD.MM.GGGG. do DD.MM.GGGG. i to osobito:
18.1.1. kada se isplaćuje primitak od kojeg se utvrđuje dohodak od nesamostalnog rada ili kada se obveza doprinosa obračunava po osnovi plaće ili mirovine ako nema isplate primitka, za sljedeće skupine oznaka stjecatelja primitka/osiguranika iz Priloga 2. Obrasca JOPPD »Stjecatelj primitka/osiguranik«: 0001-0299 (osim 0201) i 5403 te se iskazuje mjesec ili dio mjeseca (ukoliko u jednom mjesecu počinje i/ili završava razdoblje osiguranja prema istoj osnovi osiguranja) za koji se primitak isplaćuje/obveza doprinosa obračunava i uplaćuje. Na isti način prikazuje se i isplata zaostale plaće (dohotka od nesamostalnog rada)
18.1.2. kada se obveza doprinosa obračunava prema propisanoj mjesečnoj osnovici za određeni mjesec ili dio mjeseca, za slijedeće skupine oznaka stjecatelja primitka/osiguranika iz Priloga 2. Obrasca JOPPD »Stjecatelj primitka/osiguranik«: 0031-0039, 0041-0049, 5001-5009, 5101-5199, 5201-5299, 5301-5399, 5401-5499 (osim 5403), 5601-5699 i 5701-5799, te se iskazuje mjesec ili dio mjeseca (ukoliko u jednom mjesecu počinje i/ili završava razdoblje osiguranja prema istoj osnovi osiguranja) za koji se obveza doprinosa obračunava i uplaćuje. U slučaju kada se za oznake stjecatelja primitka/osiguranika iz Priloga 2. Obrasca JOPPD »Stjecatelj primitka/osiguranik«: 0031-0039,0041-0049, i 5701-5799 u jednom mjesecu iskazuje razmjerni dio obveze zbog korištenja prava iz Priloga 2. Obrasca JOPPD »Stjecatelj primitka/osiguranik«: 5203, 5204, 5210, 5211, 5212, 5213 upisuje se u retku u kojem se utvrđuje pravo na korištenje bolovanja, i u retku u koje se utvrđuje obveza stvarni dani korištenja naknade/obračuna obveze
18.1.3. kada se isplaćuju primici na koje se ne plaća porez na dohodak, primici koji se ne smatraju dohotkom odnosno primici koji bi bili oporezivi porezom na dohodak da ugovorima o izbjegavanju dvostrukog oporezivanja nije uređeno drukčije ako po osnovi istih ne postoji ni obveza doprinosa te se iskazuje mjesec u kojem je primitak stvarno isplaćen osim primitaka koji se odnose na naknadu plaće za vrijeme privremene nezaposlenosti i spriječenosti za rad isplaćenu na teret sredstava obveznih osiguranja kada se iskazuje mjesec za koji se primitak odnosi
18.1.4. kada se na isti dan i na isti način isplaćuje oporezivi i neoporezivi dio primitka od nesamostalnog rada ili neoporezivi i oporezivi primitak od nesamostalnog rada ili neoporezivi primitak po osnovi kojeg se obračunavaju doprinosi za obvezna osiguranja, isti se mogu iskazati u istom retku te se iskazuje mjesec na koji se odnosi obveza doprinosa odnosno mjesec u kojem je primitak isplaćen ako nema obveze doprinosa
18.1.5. kada tijelo javne vlasti isplaćuje naknadu prema posebnom propisu koja ne podliježe obvezi poreza na dohodak niti obvezi doprinosa, odnosno kada to tijelo priznaje određena prava iz osiguranja prema posebnim propisima po osnovi kojih ne postoji obveza isplate naknade odnosno ne postoji obveza obračuna doprinosa, a istovremeno poslodavac za vrijeme priznavanja toga prava nema obvezu isplate plaće/obračuna obveze doprinosa te kada poslodavac, odnosno druga osoba isplaćuje naknadu plaće na teret sredstava tijela javne vlasti ili na teret državnog proračuna, iskazuje se mjesec ili dio mjeseca na koji se naknada odnosi odnosno za koje se pravo iz osiguranja priznaje
18.1.6. kada poslodavac odnosno osoba koja je obveznik obračunavanja i plaćanja doprinosa nema obvezu isplate plaće/obračuna doprinosa iz razloga što radnik/osiguranik po osnovi radnog odnosa i odnosa koji su izjednačeni sa radnim odnosom prema posebnom propisu koristi određeno pravo iz osiguranja po osnovi kojeg nadležno tijelo javne vlasti isplaćuje naknadu plaće i/ili obavlja obračun doprinosa za staž osiguranja za vrijeme korištenja toga prava, iskazuje se mjesec korištenja prava
18.1.7. kada osiguranik tijekom mjeseca kod istog poslodavca obavlja poslove zanimanja za koje se staž mirovinskog osiguranja računa s povećanim trajanjem i poslove zanimanja za koje se staž mirovinskog osiguranja ne računa s povećanim trajanjem, iskazuje se mjesec dana ili dio mjeseca (ukoliko u jednom mjesecu počinje i/ili završava razdoblje osiguranja po osnovi rada za tog poslodavca) za koji se primitak isplaćuje/obveza doprinosa obračunava i uplaćuje, pri čemu se zasebno iskazuju podaci koji se odnose na staž mirovinskog osiguranja s povećanim trajanjem, a zasebno podaci koji se odnose na staž mirovinskog osiguranja koji se ne računa s povećanim trajanjem. Ako unutar istog mjeseca postoji više takvih razdoblja, podaci se iskazuju u zbirnom iznosu za ona razdoblja unutar tog mjeseca za koja je obračunata istovrsna obveza doprinosa
18.2. više mjeseci, a manje od godinu dana (kalendarske godine), u formatu od DD.MM.GGGG. do DD.MM.GGGG., može se upisati kada se iskazuje isplata primitka učeniku ili studentu na redovnom školovanju za rad preko učeničkih i studentskih udruga. Pod razdoblje upisuje se stvarno razdoblje rada koje može biti i više mjeseci ali iste kalendarske godine odnosno tromjesečno razdoblje osiguranja unutar iste kalendarske godine
18.3. kalendarska godina što se upisuje u formatu od 01.01.GGGG. do 31.12.GGGG., i to:
18.3.1. kada se obveza doprinosa i poreza na dohodak obračunava prema ostalim primicima uz plaću iz članka 22. Zakona o doprinosima te se iskazuje godina za koju se primitak isplaćuje, odnosno godina kojoj se primitak pripisuje
18.3.2. kada se iskazuju razlike na temelju godišnjeg obračuna poreza na dohodak i prireza porezu na dohodak po osnovi dohotka od nesamostalnog
18.3.3. kada se isplaćuje primitak od nesamostalnog rada koji se prema propisima o porezu na dohodak oporezuje kao dohodak od nesamostalnog rada, a prema propisima o doprinosima kao drugi dohodak, te kada se isplaćuje primitak od kojeg se utvrđuje dohodak od kapitala, posebne vrste imovine i imovinskih prava, osiguranja te drugi dohodak (skupine oznaka stjecatelja primitka/osiguranika iz Priloga 2. Obrasca JOPPD »Stjecatelj primitka/osiguranik«: 0201, 1001-1009, 2001-2009, 3001-3009 i 4001-4009), te se iskazuje godina u kojoj se primitak isplaćuje
18.3.4. kada se iskazuju podaci o kamati za doprinose za mirovinsko osiguranje na temelju individualne kapitalizirane štednje koja je naplaćena zbog nepravovremene uplate dospjele obveze, te se iskazuje godina u kojoj su obračunani doprinosi po osnovi kojih su kamate uplaćene
19. Ukupan iznos oporezivog primitka (pod 11.)
20. Osnovica za obračun doprinosa. Kada je osnovica viša od najviše mjesečne ili najviše godišnje osnovice za obračun doprinosa za obvezno mirovinsko osiguranje, upisuje se stvarni iznos osnovice – ne upisuje se iznos najviše mjesečne ili godišnje osnovice (pod 12.)
21. Iznos obračunanih doprinosa za mirovinsko osiguranje na temelju generacijske solidarnosti primjenom propisane stope na osnovicu za obračun doprinosa (pod 12.1.)
22. Iznos obračunanih doprinosa za mirovinsko osiguranje na temelju individualne kapitalizirane štednje primjenom propisane stope na osnovicu za obračun doprinosa, te podaci o kamati za doprinose za mirovinsko osiguranje na temelju individualne kapitalizirane štednje koja je naplaćena zbog nepravovremene uplate dospjele obveze (pod 12.2.)
23. Iznos obračunanih doprinosa za zdravstveno osiguranje primjenom propisane stope na osnovicu za obračun doprinosa (pod 12.3.)
24. Iznos obračunanih doprinosa za zaštitu zdravlja na radu primjenom propisane stope na osnovicu za obračun doprinosa (pod 12.4.)
25. Iznos obračunanih doprinosa za zapošljavanje primjenom propisane stope na osnovicu za obračun doprinosa (pod 12.5.)
26. Iznos obračunanih dodatnih doprinosa za mirovinsko osiguranje na temelju generacijske solidarnosti za staž osiguranja s povećanim trajanjem primjenom propisane stope na osnovicu za obračun doprinosa (pod 12.6.). Podatak se upisuje samo ako je upisana oznaka obveze 1, 2, 3 ili 4
27. Iznos obračunanih dodatnih doprinosa za mirovinsko osiguranje na temelju individualne kapitalizirane štednje za staž osiguranja s povećanim trajanjem primjenom propisane stope na osnovicu za obračun doprinosa (pod 12.7.). Podatak se upisuje samo ako je upisana oznaka obveze 1, 2, 3 ili 4
28. Iznos obračunanog posebnog doprinosa za korištenje zdravstvene zaštite u inozemstvu za osiguranike koji službeno borave u inozemstvu odnosno posebnog doprinosa za korištenje zdravstvene zaštite u inozemstvu za osiguranike koji borave na službenom putu u inozemstvu i izaslane osobe koje obavljaju samostalnu djelatnost primjenom propisane stope na osnovicu za obračun doprinosa (pod 12.8.)
29. Iznos obračunanog posebnog doprinosa za poticanje zapošljavanja osoba s invaliditetom primjenom propisane stope na osnovicu za obračun doprinosa (pod 12.9.). Podatak se upisuje samo ako je upisana oznaka obveze 1 ili 2
30. Izdatak (pod 13.1.). – upisuje se, ovisno o vrsti obračuna, iznos izdatka u paušalnom iznosu ili iznos obračunanog i uplaćenog doprinosa iz osnovice kod isplate zaostale plaće za mjesec dana rada za razdoblje koje je ranije od 1.1.2003. a za koju je prethodno izvršen obračun i zaduženi su doprinosi na minimalnu osnovicu i/ili dio doprinosa iz primitka, a koji nije doprinos za mirovinsko osiguranje
31. Izdatak – uplaćeni doprinos za mirovinsko osiguranje (pod 13.2.)
32. Dohodak (pod 13.3.)
33. Osobni odbitak (pod 13.4.)
34. Porezna osnovica (pod 13.5.)
35. Iznos obračunanog predujma poreza na dohodak (pod 14.1.) umanjen za postotak invalidnosti hrvatskog ratnog vojnog invalida iz Domovinskog rata i/ili umanjen za 50% kod obračuna predujma poreza na dohodak umirovljenicima po osnovi ostvarenog dohotka od mirovine i/ili umanjen za 50% poreznim obveznicima koji imaju prebivalište i borave na području jedinica lokalne samouprave razvrstanih u I. skupinu po stupnju razvijenosti prema posebnom propisu o regionalnom razvoju Republike Hrvatske i na području Grada Vukovara utvrđenog prema posebnom propisu o obnovi i razvoju Grada Vukovara. Ukoliko se iskazuje primitak po osnovi nesamostalnog rada utvrđen na način propisan člankom 25. stavkom 6. Zakona, za potrebe izvješćivanja, upisuje se iznos predujma poreza na dohodak izračunanog primjenom prosječne stope poreza na dohodak na godišnjoj razini (ukupan predujam poreza na dohodak po osnovi nesamostalnog rada na godišnjoj razini utvrđen kod toga poslodavca ili isplatitelja primitka od nesamostalnog rada odnosno plaće/ ukupna godišnja porezna osnovica prema kojoj je utvrđen predujam poreza na dohodak po osnovi nesamostalnog rada)
36. Iznos obračunanog predujma prireza porezu na dohodak (pod 14.2.)
37. Oznaka neoporezivog primitka (pod 15.1.)
38. Iznos neoporezivog primitka (pod 15.2.)
39. Oznaka načina isplate odnosno izvršenja obveze (pod 16.1.). iz Priloga 5. Obrasca JOPPD »Način isplate/izvršenja obveze«
40. Iznos za isplatu (pod 16.2.). – upisuje se iznos ukupnog primitka (oporezivog primitka i/ili neoporezivog primitka) umanjenog za iznos uplaćenih doprinosa iz primitka, te uplaćenog predujma poreza i prireza
41. Ukupan iznos obračunanog primitka od nesamostalnog rada (redovna plaća) za izvještajno razdoblje (pod 17), neovisno o tome da li je primitak isplaćen ili ne. Upisuje se na način propisan za broj sati rada iz točke 16. ovoga stavka, osim za oznake stjecatelja primitka/osiguranika iz Priloga 2. Obrasca JOPPD »Stjecatelj primitka/osiguranik« 5701-5799, 0031-0039, 0041-0049 i primitka/obveze doprinosa iz Priloga 3. Primici/obveze doprinosa 0103.
(2) Podaci o primicima po pojedinom stjecatelju primitka/osiguraniku na stranici B Obrasca JOPPD upisuju se pojedinačno u svaki redak ovisno o kombinaciji oznake stjecatelja primitka/osiguranika i oznake primitka/obveze doprinosa.
(3) Na stranici B Obrasca JOPPD obvezno se popunjavaju svi stupci u jednom retku sa odgovarajućim oznakama ili se upisuje 0, odnosno sa odgovarajućim iznosima ili se upisuje 0,00.
(4) Podaci o neoporezivim primicima/primicima koji se ne smatraju dohotkom, iskazuju se pojedinačno prema oznaci iz Priloga 4. Obrasca JOPPD »Neoporezivi primici/primici koji se ne smatraju dohotkom«, s tim da se na stranici B Obrasca JOPPD ne popunjava šifra općine/grada rada,odnosno upisuje se 0000, osim kada neoporezive primitke poslodavci isplaćuju svojim radnicima, pod 6.1. i 6.2. stranice B Obrasca JOPPD upisuje se oznaka 0000, a od 7.1. do 14.2. upisuju se nule (oznaka 0 ili 0,00 ako se upisuje iznos) osim za polja 10.1. i 10.2. u kojima se upisuje razdoblje. Kada tijelo javne vlasti ima obvezu isplate naknade koja ne podliježe obvezi doprinosa, neposredno osiguraniku, pod 6.1 upisuje se vrsta prava, pod 15.1 upisuje se oznaka koja označava naknadu plaće, a pod 15.2. upisuje se iznos naknade plaće. Na isti način postupa i poslodavac odnosno osoba koja je obveznik obračunavanja i plaćanja doprinosa kada ima obvezu isplate naknade plaće koja se isplaćuje na teret sredstava tijela javne vlasti ili na teret državnog proračuna.
(5) Iznimno od stavka 4. ovoga članka ukoliko se fizičkoj osobi isti dan i na isti način isplaćuje oporezivi i neoporezivi primitak ili primitak koji je viši od propisanog neoporezivog dijela (oporezivi i neoporezivi dio), a za taj neoporezivi primitak postoji mjesečna obveza dostavljanja podataka na Obrascu JOPPD ili ako se po osnovi neoporezivog primitka obračunavaju i plaćaju doprinosi, tada se isti mogu iskazati u istom retku, te se u tom slučaju izvješće dostavlja u rokovima propisanim za oporezivi dio primitka, odnosno na dan obračuna i uplate doprinosa.
Ispravak i nadopuna Obrasca JOPPD
Članak 22.
(1) Ukoliko nakon podnošenja podataka na Obrascu JOPPD i urednog zaprimanja Obrasca JOPPD obveznik podnošenja utvrdi da su svi ili neki podaci iz podnijetog obrasca netočni, ispravak obavlja podnošenjem novog Obrasca JOPPD i to s oznakom vrste izvješća 2 i/ili 6 i/ili 9 i/ili 12. Dnevno se može podnijeti samo jedan obrazac s oznakom 2 i/ili 6 i/ili 9 i/ili 12 za istu oznaku izvješća.
(2) Odbijanje zaprimanja izvornog Obrasca JOPPD uslijed logičkih, matematičkih i formalnih nedostataka ne smatra se razlogom za podnošenje ispravka izvornog Obrasca JOPPD iz stavka 5. ovog članka, već je potrebno ponovno dostaviti izvorno izvješće koje će biti zaprimljeno tek ako zadovolji sve propisane uvjete.
(3) Podatke iskazane na stranici A izvornog Obrasca JOPPD nije moguće mijenjati odnosno nadopunjavati, osim podataka pod IX. i X. i podataka pod VI.1.5. i VI.3.10. u slučaju oznake podnositelja 6, koji se mogu ispraviti na sljedeći način:
1. na stranici A:
1.1. pod I. upisuje se istovjetna oznaka izvješća Obrasca JOPPD kao i u izvornom Obrascu JOPPD
1.2. pod II. upisuje se oznaka 4
1.3. pod III. do VIII. upisuju se podaci koji su istovjetni podacima upisanim na izvornom Obrascu JOPPD, osim podataka pod VI.1.5. i VI.3.10. u slučaju oznake podnositelja 6, gdje se upisuju ispravni podaci
1.4. pod IX. i X. upisuju se ispravni podaci
2. stranica B se ne dostavlja.
(4) Ispravljanje podataka iskazanih na stranici B obavlja se na sljedeći način:
1. na stranici A:
1.1. pod I. upisuje se istovjetna oznaka izvješća Obrasca JOPPD kao i u izvornom Obrascu JOPPD
1.2. pod II. upisuje se oznaka 2 i/ili 6 i/ili 9 i/ili 12
1.3. pod III. upisuju se podaci koji su istovjetni podacima upisanim na izvornom Obrascu JOPPD
1.4. pod IV.1. upisuje se broj osoba za koje se mijenjaju podaci (broj pojedinačnih OIB-a na stranici B Obrasca JOPPD kojim se radi ispravak)
1.5. pod IV.2. upisuje se zadnji broj retka na popisu pojedinačnih obračuna sa stranice B Obrasca JOPPD kojim se obavlja ispravak
1.6. pod V., VI., VII. i VIII. upisuje se zbroj stupaca sa stranice B obrasca kojim se obavlja ispravak, kako je propisano ovim Pravilnikom
2. na stranici B:
2.1. pod I. i II. te od 1. do 10.2. obvezno se upisuju podaci koji su istovjetni podacima upisanim na izvornom Obrascu JOPPD
2.2. pod III. unosi se oznaka 2 i/ili 6 i/ili 9 i/ili 12
2.3. pod. IV. obvezno se upisuje podatak kako je propisano ovim Pravilnikom
2.4. pod ostalim podacima (od 11. do 17.) popunjavaju se svi ostali stupci odgovarajućeg retka koji se mijenja, kako je propisano ovim Pravilnika, ovisno o vrsti obračuna i to sa svim podacima koji su trebali biti upisani na izvornom izvješću da nisu nastupile okolnosti zbog kojih se ispravak obavlja
2.5. ukoliko se radi ispravak kojima su vrijednosti u kolonama 11. – 17. nule (0 ili 0,00), tada i vrijednost u polju 10 (sati rada) mora biti 0.
(5) Dopunom Obrasca JOPPD s oznakom vrste izvješća 3 i/ili 7 i/ili 10 i/ili 13 mogu se nadopunjavati podaci o stjecateljima primitka/osiguranicima koji nisu bili iskazani na izvornom izvješću iako je za iste danom podnošenja izvornog izvješća nastupila obveza izvješćivanja te podaci o stjecatelju primitka/osiguraniku kojemu je na izvornom izvješću bio unesen pogrešan OIB. Dnevno se može podnijeti samo jedno izvješće sa oznakom vrste izvješća 3 i/ili 7 i/ili 10 i/ili 13 za istu oznaku izvješća.
(6) Dopuna Obrasca JOPPD s oznakom vrste izvješća 3 i/ili 7 i/ili 10 i/ili 13 obavlja se na sljedeći način:
1. na stranici A:
1.1. pod I. upisuje se istovjetna oznaka izvješća Obrasca JOPPD kao i u izvornom izvješću
1.2. pod II. upisuje se oznaka 3 i/ili 7 i/ili 10 i/ili 13
1.3. pod III. upisuju se podaci koji su istovjetni podacima upisanim na izvornom izvješću
1.4. pod IV.1. upisuje se broj osoba za koje se dopunjuju podaci
1.5. pod IV.2. upisuje se broj redaka na popisu pojedinačnih obračuna sa stranice B Obrasca JOPPD kojim se obavlja dopuna
1.6. pod V., VI., VII. i VIII. upisuje se zbroj stupaca sa stranice B kako je opisano člankom 16. ovoga Pravilnika
2. na stranici B:
2.1. pod I. i II. upisuju se podaci koji su istovjetni podacima upisanim na izvornom izvješću, pod III. unosi se oznaka 3 i/ili 7 i/ili 10 i/ili 13, a pod IV. upisuje se podatak kako je to opisano člankom 17. ovoga Pravilnika
2.2. pod 1. upisuje se sljedeći slobodni redni broj sa izvornog izvješća
2.3. pod ostalim podacima upisuju se podaci za one stjecatelje primitka/osiguranike čiji podaci nisu bili iskazani na izvornom izvješću na način kako je opisano člankom 17. ovoga Pravilnika.
(7) Podaci o OIB-u podnositelja, OIB-u obveznika plaćanja, OIB-u stjecatelja/osiguranika, oznaci izvješća i podaci upisani pod 1. do 9. na stranici B Obrasca JOPPD, ne smiju se ispravljati ili mijenjati. Podaci o iznosu obračunanog doprinosa za mirovinsko osiguranje na temelju individualne kapitalizirane štednje ne smiju se mijenjati na niži iznos od iznosa iskazanoga na izvornom Obrascu JOPPD ukoliko je osobni račun u obveznom mirovinskom fondu zatvoren.
(8) Ako je na već podnijetom Obrascu JOPPD pogrešno upisan podatak o OIB-u podnositelja i/ili OIB-u obveznika plaćanja, podnosi se Obrazac JOPPD s oznakom vrste izvješća 2 i/ili 6 i/ili 9 i/ili 12 pod pogrešnim OIB-om s istom oznakom izvornog Obrasca, pod III. i IV. stranice A upisuju se istovjetni podaci kao i na izvornom obrascu, pod V., VI. i VII. stranice A ne upisuje se ništa, a na stranici B upisuju se podaci koji su istovjetni podacima upisanim na izvornom Obrascu JOPPD, osim podataka od 11. do 17. koji se popunjavaju s nulama (oznakom 0 ili iznosom 0,00). Nakon toga podnosi se Obrazac JOPPD s istom oznakom izvješća koje je podneseno pod pogrešnim OIB-om, ispravnim OIB-om podnositelja i svim ostalim podacima. Ukoliko je već podneseno izvješće pod ispravnim OIB-om s istom oznakom izvješća podaci koji su bili iskazani pod pogrešnim OIB-om podnositelja i/ili OIB-om obveznika plaćanja nadopunit će se na već podneseni Obrazac JOPPD putem Obrasca JOPPD s oznakom vrste izvješća 3 i/ili 7 i/ili 10 i/ili 13.
(9) Ako se za nekog stjecatelja primitka/osiguranika u cijelosti brišu podaci iz izvornog Obrasca JOPPD, tada se za njega u ispravljenom obrascu JOPPD s oznakom vrste izvješća 2 i/ili 6 i/ili 9 i/ili 12 upisuju podaci na stranici B istovjetni podacima s izvornog obrasca, a podaci pod 10 i 10.0., te od 11. do 17. popunjavaju se s nulama (oznakom 0 ili iznosom 0,00).
(10) Ako je za nekog stjecatelja primitka/osiguranika na izvornom obrascu bio unesen pogrešan OIB ili se mijenjaju podaci upisani pod 6.1. do 9., podnosi se:
– Obrazac JOPPD s oznakom vrste izvješća 2 i/ili 6 i/ili 9 i/ili 12 na kojem se upisuju podaci na stranici B istovjetni podacima s izvornog obrasca za tog stjecatelja primitka/osiguranika, a podaci pod 10 i 10.0. te od 11. do 17. popunjavaju se s nulama (oznakom 0 ili iznosom 0,00)
– dopuna izvornog Obrasca JOPPD s oznakom vrste izvješća 3 i/ili 7 i/ili 10 i/ili 13 s upisanim točnim OIB-om tog stjecatelja primitka/osiguranika i svim ostalim podacima za tog stjecatelja primitka/osiguranika koji su trebali biti iskazani na izvornom obrascu.
(11) Ako je za nekog stjecatelja primitka/osiguranika na izvornom Obrascu JOPPD iskazan povrat po godišnjem obračunu poreza na dohodak od nesamostalnog rada, a za kojega se naknadno utvrdi da je pogrešan, odnosno da treba iskazati manji iznos za povrat, ispravak iskazanog podatka nije dozvoljen, već se ispravak iskazanog iznosa iskazuje putem dopune izvornog Obrasca JOPPD s oznakom vrste izvješća 3 u kojem će se iskazati iznos za koji se treba umanjiti iznos povrata iskazan u izvornom Obrascu JOPPD, ali s pozitivnim predznakom.
(12) Ako je za nekog stjecatelja primitka/osiguranika na izvornom Obrascu JOPPD iskazan povrat po godišnjem obračunu poreza na dohodak od nesamostalnog rada, a za kojega se naknadno utvrdi da je pogrešan, odnosno da treba iskazati veći iznos za povrat, ispravak iskazanog podatka nije dozvoljen, već se ispravak iskazanog iznosa za povrat iskazuje putem dopune izvornog Obrasca JOPPD s oznakom vrste izvješća 3 u kojem će se iskazati razlika za povrat.
(13) Ako je za nekog stjecatelja primitka/osiguranika na izvornom obrascu iskazan povrat po godišnjem obračunu poreza na dohodak od nesamostalnog rada, a nakon toga uslijedi nova isplata primitka od kojega se utvrđuje dohodak od nesamostalnog rada, a za koju isplatitelj u trenutku godišnjeg obračuna nije znao ili nije mogao znati, novi godišnji obračun (reobračun godišnjeg obračuna) iskazuje se u novom Obrascu JOPPD s oznakom vrste izvješća 1 na dan nove isplate, a u kojemu se iskazuje razlika između iznosa povrata/uplate po godišnjem obračunu iskazanog u prethodnom Obrascu JOPPD i iznosa koji je izračunan u novom godišnjem obračunu u kojemu je uzet u obzir i naknadno isplaćeni primitak.
DIO PETI
OBVEZE PRI ISPLATAMA PRIMITAKA NEREZIDENTIMA
Članak 23.
(1) Tuzemni isplatitelj primitaka obvezan je nerezidentima pri svakoj isplati primitaka od kojih se utvrđuje dohodak prema članku 5. Zakona, obračunati, obustaviti i uplatiti porez na dohodak u skladu s odredbama Zakona, ako ti nerezidenti imaju prebivalište ili uobičajeno boravište u državama s kojima Republika Hrvatska ne primjenjuje ugovor o izbjegavanju dvostrukog oporezivanja.
(2) U slučaju iz stavka 1. ovoga članka, ispostava Porezne uprave mjesno nadležna prema sjedištu isplatitelja na zahtjev nerezidenta izdaje potvrdu o porezu na dohodak plaćenom u Republici Hrvatskoj.
(3) Tuzemni isplatitelj primitaka od kojih se utvrđuje dohodak prema članku 5. Zakona, nerezidentima koji su rezidenti država s kojima Republika Hrvatska primjenjuje ugovore o izbjegavanju dvostrukog oporezivanja, obvezan je prilikom isplate obračunati, obustaviti i uplatiti porez na dohodak na način određen ugovorom i tuzemnim Zakonom.
(4) Ako Republika Hrvatska ima s državom čiji je porezni obveznik rezident, sklopljen ugovor o izbjegavanju dvostrukog oporezivanja, odredbe ugovora primjenjivat će se na način propisan stavcima 5., 6., 7., 8., 9. i 10. ovoga članka.
(5) Prava iz Ugovora ostvaruju se na temelju obrazaca, ovisno o vrsti isplate:
1. »Zahtjev za umanjenje porezne obveze, izuzimanje od porezne obveze ili povrat više plaćenog poreza na dividende prema Ugovoru o izbjegavanju dvostrukog oporezivanja između Republike Hrvatske i ----------«
2. »Zahtjev za umanjenje porezne obveze, izuzimanje od porezne obveze ili povrat više plaćenog poreza na kamate prema Ugovoru o izbjegavanju dvostrukog oporezivanja između Republike Hrvatske i ----------«
3. »Zahtjev za umanjenje porezne obveze, izuzimanje od porezne obveze ili povrat više plaćenog poreza na licence prema Ugovoru o izbjegavanju dvostrukog oporezivanja između Republike Hrvatske i ----------«
4. »Zahtjev za umanjenje porezne obveze, izuzimanje od porezne obveze ili povrat više plaćenog poreza na naknade za djelatnost obavljenu u Republici Hrvatskoj prema Ugovoru o izbjegavanju dvostrukog oporezivanja između Republike Hrvatske i ----------«.
(6) Za primjenu odredbi iz Ugovora, obrazac »Zahtjev« treba biti ovjeren od nadležnog inozemnog tijela. Ovjereni zahtjev se podnosi za svaku isplatu. Iznimno, ako se radi o učestalim mjesečnim isplatama, ovjereni se zahtjev podnosi pri prvoj isplati, a potom ga je potrebno podnositi svakih šest (6) mjeseci.
(7) Obrasci iz stavka 5. ovoga članka sastoje se iz četiri primjerka: primjerka za podnositelja zahtjeva, primjerka za isplatitelja, primjerka za inozemno porezno tijelo i primjerka za Poreznu upravu Republike Hrvatske. Odgovarajući obrazac podnositelj zahtjeva – nerezident obvezan je ovjeriti pri poreznom tijelu države čiji je rezident. Jedan primjerak obrasca namijenjen je inozemnom poreznom tijelu, drugi je namijenjen podnositelju zahtjeva, a preostala dva primjerka ovjerenog obrasca s popunjenim podacima o podnositelju zahtjeva, izjavom podnositelja zahtjeva, vrsti djelatnosti, trajanju djelatnosti, predmetu ugovora, priloženim ispravama i drugo, podnositelj zahtjeva dostavlja tuzemnom isplatitelju primitka. Tuzemni isplatitelj pri isplati primitka jedan primjerak obrasca dostavlja Poreznoj upravi, a drugi primjerak zadržava za svoje potrebe.
(8) Ako tuzemni isplatitelj u trenutku isplate primitka nerezidentu raspolaže ovjerenim primjercima obrasca Zahtjeva iz stavka 5. ovoga članka, primijenit će odgovarajuće odredbe ugovora o izbjegavanju dvostrukog oporezivanja.
(9) Ako tuzemni isplatitelj u trenutku isplate primitka nerezidentu ne raspolaže ovjerenim primjercima obrasca Zahtjeva iz stavka 5. ovoga članka, obvezan je prilikom isplate primitka primijeniti odredbe tuzemnog zakona.
(10) U slučaju iz stavka 9. ovoga članka nerezident može u roku od tri godine od isteka godine u kojoj je primitak isplaćen, dostaviti Ministarstvu financija, Poreznoj upravi, Područnom uredu Zagreb, ovjerovljeni obrazac Zahtjeva radi povrata više plaćenog poreza u odnosu na porez koji je prema ugovoru o izbjegavanju dvostrukog oporezivanja trebao biti plaćen.
(11) Ministarstvo financija, Porezna uprava, Područni ured Zagreb, nadležan je i za vođenje evidencije o postupanju po zahtjevima u slučajevima iz stavka 8. ovoga članka.
(12) Obrasci zahtjeva iz stavka 5. ovoga članka sastavni su dio ovoga Pravilnika.
DIO ŠESTI
OBVEZA ISPLATE NA RAČUN
Članak 24.
(1) U skladu s člankom 86. Zakona tijela državne uprave i sudbene vlasti te druga državna tijela i službe jedinica lokalne i područne (regionalne) samouprave, zavodi, neprofitne organizacije, poduzetnici – pravne i fizičke osobe obavljaju isplate primitaka fizičkim osobama, na njihov žiro-račun kod banke odnosno nerezidentima na njihov račun.
(2) Iznimno od stavka 1. ovoga članka navedena tijela, organizacije odnosno osobe mogu obveznicima poreza na dohodak, odnosno fizičkim osobama isplatiti na njihov tekući račun kod banke:
1. primitke po osnovi nesamostalnog rada iz članka 21. Zakona
2. primitke od kapitala iz članka 64. Zakona
3. primitke od osiguranja iz članka 72. Zakona
4. primitke koji se u skladu s člankom 8. Zakona ne smatraju dohotkom, osim primitaka po osnovi darovanja za zdravstvene potrebe iz stavka 1. točke 4. toga članka
5. primitke na koje se u skladu s člankom 9. Zakona ne plaća porez na dohodak
6. naknade za rad u svezi s izborom čije je održavanje propisano posebnim zakonom, ako se isplaćuju do 1.600,00 kuna po održanom izboru
7. primitke od otuđenja posebnih vrsta imovine iz članka 59. Zakona, ako posebnim propisom nije drugačije uređeno.
(3) Iznimno od stavka 1. ovoga članka navedena tijela, organizacije odnosno osobe mogu obveznicima poreza na dohodak, odnosno fizičkim osobama isplatu izvršiti i u gotovu novcu i to za:
1. mirovine iz članka 21. stavka 2. Zakona
2. nagrade nerezidentima iz članka 39. stavka 5. točke 3. Zakona, za sudjelovanje na športskim, umjetničkim i drugim natjecanjima u Republici Hrvatskoj, ako se do završetka natjecanja ne zna koji od natjecatelja ostvaruje pravo na novčanu nagradu
3. primitke od obavljanja sezonskih poslova (sezonski poslovi u poljoprivredi, branje i skupljanje plodova i bilja, poslovi prodaje poljoprivrednih proizvoda, šumskih proizvoda, osvježavajućih napitaka, ledenih slastica, dnevnog tiska, ulaznica i slično, poslovi popisivanja, anketiranja, očitanja brojila i slično, amatersko sudjelovanje u radu kulturno umjetničkih društava i slični poslovi), uz uvjet da ovi primici kod jednog isplatitelja ne prelaze 15.000,00 kuna godišnje
4. primitke koji se u skladu s člankom 8. Zakona ne smatraju dohotkom, osim primitaka po osnovi darovanja za zdravstvene potrebe iz stavka 1. točke 4. toga članka
5. primitke na koje se u skladu s člankom 9. Zakona ne plaća porez na dohodak, osim:
5.1. primitaka učenika i studenata na redovnom školovanju za rad preko učeničkih i studentskih udruga po posebnim propisima
5.2. stipendija učenicima i studentima koje se isplaćuju za vrijeme njihova redovnog školovanja, a koje se do propisanog iznosa ne smatraju drugim dohotkom te stipendija koje služe za pokriće troškova iz članka 4. stavka 3. ovoga Pravilnika, osim troškova školarine koji se isplaćuju na račun visokog učilišta
5.3. športskih stipendija, nagrada za športska ostvarenja i naknada športašima amaterima prema posebnim propisima, do propisanih iznosa
6. naknade za rad sezonskom radniku u poljoprivredi.
(4) Povrat više uplaćenog poreza na dohodak i prireza porezu na dohodak iz članka 46. stavka 5. Zakona Porezna uprava izvršit će na način iz stavka 1. i 2. ovoga članka, a iznimno na način iz stavka 3. ovoga članka ako fizička osoba nema otvoren tekući ili žiroračun odnosno ako u trenutku izvršenja povrata poreza na dohodak ne ostvaruje primitke za koje postoji obveza isplate na račun.
(5) Za potrebe Zakona i ovoga Pravilnika, isplatama u gotovu novcu smatra se izravna predaja gotova novca (novčanica i kovanica) i sve druge isplate obavljene izravno odnosno mimo računa poreznih obveznika kod banke.
(6) Isplatitelji primitaka koji se smatraju dohotkom, a koji ne podliježu obvezi doprinosa te poslodavci koji isplaćuju naknadu plaće, a za koje postoji obveza izvješćivanja na Obrascu JOPPD, osim korisnika proračuna koji primitke isplaćuju preko jedinstvenog računa državnog proračuna, dužni su, pri isplatama na račun, na nalozima za plaćanje za isplatu navedenih primitaka navesti sljedeće obvezne elemente u polje »poziv na broj platitelja« na nalogu za plaćanje:
67 OIB – GG001 do 365/366 – X
|
67 |
broj modela |
|
OIB |
OIB obveznika plaćanja sa Obrasca JOPPD |
|
GG001 do 365/366 |
Oznaka izvješća Obrasca JOPPD na kojem se iskazuje primitak koji se isplaćuje |
|
X |
9 – isplata naknade plaće od strane poslodavca 10 – isplata mirovine 11 – isplata dohotka od osiguranja 12 – isplata dohotka od kapitala 13 – isplata dohotka od posebne vrste imovine 14 – isplata dohotka od imovinskih prava 15 – isplata drugog dohotka koji ne podliježe obvezi doprinosa |
DIO SEDMI
PRIJELAZNE I ZAVRŠNE ODREDBE
Članak 25.
Do propisivanja oblika i sadržaja poslovnih knjiga i evidencija, porezni obveznici vode poslovne knjige i sastavljaju evidencije na obrascima oblikom i sadržajem propisanim ranije važećim Pravilnikom o porez u na dohodak (»Narodne novine« br. 95/05, 96/06, 68/07, 146/08, 2/09, 9/09 – ispravak, 146/09, 123/10, 137/11, 61/12, 79/13, 160/13, 157/14 i 137/15), ako nisu u suprotnosti s odredbama Zakona, osim obrazaca koji su propisani ovim Pravilnikom.
Članak 26.
Ovaj Pravilnik stupa na snagu prvoga dana od dana objave u »Narodnim novinama«.
Klasa: 011-01/16-02/43
Urbroj: 513-07-21-01/16-1
Zagreb, 21. prosinca 2016.
Ministar financija
dr. sc. Zdravko Marić, v. r.
|
MINISTARSTVO FINANCIJA, POREZNA UPRAVA |
|
|
SREDIŠNJI REGISTAR OSIGURANIKA |
OBRAZAC JOPPD |
|
- stranica A- |
IZVJEŠĆE
o primicima, porezu na dohodak i prirezu te doprinosima za obvezna osiguranja
na dan ____________
|
I. |
OZNAKA IZVJEŠĆA |
II. |
VRSTA IZVJEŠĆA |
|||||
|
III. |
PODACI O: |
III.1. PODNOSITELJU IZVJEŠĆA |
III.2. OBVEZNIKU PLAĆANJA |
|||||
|
1. |
Naziv/ime i prezime |
|||||||
|
2. |
Adresa |
|||||||
|
3. |
Adresa elektroničke pošte |
|||||||
|
4. |
OIB |
|||||||
|
5. |
Oznaka podnositelja |
|||||||
|
IV.1. |
BROJ OSOBA ZA KOJE SE PODNOSI IZVJEŠĆE |
IV.2. |
BROJ REDAKA NA POPISU POJEDINAČNIH OBRAČUNA SA STRANICE B |
|||||
|
V. |
PODACI O UKUPNOM IZNOSU OBRAČUNANOG PREDUJMA POREZA NA DOHODAK I PRIREZA POREZU NA DOHODAK |
I Z N O S |
||||||
|
1. |
Ukupan iznos predujma poreza na dohodak i prireza porezu na dohodak po osnovi nesamostalnog rada (1.1.+1.2.) |
|||||||
|
1.1. |
Ukupan zbroj stupaca 14.1. i 14.2. sa stranice B pod oznakom stjecatelja primitka/osiguranika (plaća) |
|||||||
|
1.2. |
Ukupan zbroj stupaca 14.1. i 14.2. sa stranice B pod oznakom stjecatelja primitka/osiguranika (mirovina) |
|||||||
|
2. |
Ukupan iznos predujma poreza na dohodak i prireza porezu na dohodak po osnovi dohotka od kapitala |
|||||||
|
3. |
Ukupan iznos predujma poreza na dohodak i prireza porezu na dohodak po osnovi dohotka od imovinskih prava i posebnih vrsti imovine |
|||||||
|
4. |
Ukupan iznos predujma poreza na dohodak i prireza porezu na dohodak po osnovi dohotka od osiguranja |
|||||||
|
5. |
Ukupan iznos predujma poreza na dohodak i prireza porezu na dohodak po osnovi primitka od kojeg se utvrđuje drugi dohodak |
|||||||
|
6. |
Ukupan iznos predujma poreza na dohodak i prireza porezu na dohodak po osnovi dohotka od kamata |
|||||||
|
VI. |
PODACI O UKUPNOM IZNOSU OBRAČUNANOG DOPRINOSA |
|||||||
|
VI.1. |
DOPRINOS ZA MIROVINSKO OSIGURANJE NA TEMELJU GENERACIJSKE SOLIDARNOSTI |
|||||||
|
1. |
Ukupan iznos doprinosa za mirovinsko osiguranje na temelju generacijske solidarnosti po osnovi radnog odnosa |
|||||||
|
2. |
Ukupan iznos doprinosa za mirovinsko osiguranje na temelju generacijske solidarnosti po osnovi drugog dohotka |
|||||||
|
3. |
Ukupan iznos doprinosa za mirovinsko osiguranje na temelju generacijske solidarnosti po osnovi poduzetničke plaće |
|||||||
|
4. |
Ukupan iznos doprinosa za mirovinsko osiguranje na temelju generacijske solidarnosti za osiguranike za koje se doprinos uplaćuje prema posebnim propisima |
|||||||
|
5. |
Ukupan iznos posebnog doprinosa za mirovinsko osiguranje na temelju generacijske solidarnosti za osobe osigurane u određenim okolnostima |
|||||||
|
6. |
Ukupan iznos dodatnog doprinosa za mirovinsko osiguranje na temelju generacijske solidarnosti za staž osiguranja koji se računa s povećanim trajanjem |
|||||||
|
7. |
Ukupan iznos doprinosa za mirovinsko osiguranje na temelju generacijske solidarnosti po osnovi obavljanja samostalne djelatnosti za osobe koje su same za sebe obvezne obračunati doprinose |
|||||||
|
VI.2. |
DOPRINOS ZA MIROVINSKO OSIGURANJE NA TEMELJU INDIVIDUALNE KAPITALIZIRANE ŠTEDNJE |
|||||||
|
1. |
Ukupan iznos doprinosa za mirovinsko osiguranje na temelju individualne kapitalizirane štednje po osnovi radnog odnosa |
|||||||
|
2. |
Ukupan iznos doprinosa za mirovinsko osiguranje na temelju individualne kapitalizirane štednje po osnovi drugog dohotka |
|||||||
|
3. |
Ukupan iznos doprinosa za mirovinsko osiguranje na temelju individualne kapitalizirane štednje po osnovi poduzetničke plaće |
|||||||
|
4. |
Ukupan iznos doprinosa za mirovinsko osiguranje na temelju individualne kapitalizirane štednje za osiguranike za koje se doprinos uplaćuje prema posebnim propisima |
|||||||
|
5. |
Ukupan iznos dodatnog doprinosa za mirovinsko osiguranje na temelju individualne kapitalizirane štednje za staž osiguranja koji se računa s povećanim trajanjem |
|||||||
|
6. |
Ukupan iznos doprinosa za mirovinsko osiguranje na temelju individualne kapitalizirane štednje po osnovi obavljanja samostalne djelatnosti za osobe koje su same za sebe obvezne obračunati doprinose |
|||||||
|
VI.3. |
DOPRINOS ZA ZDRAVSTVENO OSIGURANJE |
|||||||
|
1. |
Ukupan iznos doprinosa za zdravstveno osiguranje po osnovi radnog odnosa |
|||||||
|
2. |
Ukupan iznos doprinosa za zaštitu zdravlja na radu po osnovi radnog odnosa |
|||||||
|
3. |
Ukupan iznos doprinosa za zdravstveno osiguranje po osnovi poduzetničke plaće |
|||||||
|
4. |
Ukupan iznos doprinosa za zaštitu zdravlja na radu po osnovi poduzetničke plaće |
|||||||
|
5. |
Ukupan iznos doprinosa za zdravstveno osiguranje po osnovi drugog dohotka |
|||||||
|
6. |
Ukupan iznos posebnog doprinosa za korištenje zdravstvene zaštite u inozemstvu |
|||||||
|
7. |
Ukupan iznos dodatnog doprinosa za zdravstveno osiguranje – za obveznike po osnovi korisnika mirovina |
|||||||
|
8. |
Ukupan iznos doprinosa za zdravstveno osiguranje – za osiguranike za koje se doprinos uplaćuje prema posebnim propisima |
|||||||
|
9. |
Ukupan iznos doprinosa za zaštitu zdravlja na radu – za osiguranike za koje se doprinos uplaćuje prema posebnim propisima |
|||||||
|
10. |
Ukupan iznos posebnog doprinosa za zaštitu zdravlja na radu – za osobe osigurane u određenim okolnostima |
|||||||
|
11. |
Ukupan iznos doprinosa za zdravstveno osiguranje po osnovi obavljanja samostalne djelatnosti za osobe koje su same za sebe obvezne obračunati doprinose |
|||||||
|
12. |
Ukupan iznos doprinosa za zaštitu zdravlja na radu po osnovi obavljanja samostalne djelatnosti za osobe koje su same za sebe obvezne obračunati doprinose |
|||||||
|
VI.4. |
DOPRINOS ZA ZAPOŠLJAVANJE |
|||||||
|
1. |
Ukupan iznos doprinosa za zapošljavanje |
|||||||
|
2. |
Ukupan iznos posebnog doprinosa za zapošljavanje osoba s invaliditetom |
|||||||
|
3. |
Ukupan iznos doprinosa za zapošljavanje po osnovi poduzetničke plaće |
|||||||
|
4. |
Ukupan iznos doprinosa za zapošljavanje po osnovi obavljanja samostalne djelatnosti za osobe koje su same za sebe obvezne obračunati doprinose |
|||||||
|
VII. |
ISPLAĆENI NEOPOREZIVI PRIMICI |
|||||||
|
VIII. |
NAPLAĆENA KAMATA ZA DOPRINOSE ZA MIROVINSKO OSIGURANJE NA TEMELJU INDIVIDUALNE KAPITALIZIRANE ŠTEDNJE |
|||||||
|
IX. |
UKUPAN IZNOS NEOPOREZIVIH PRIMITAKA NEREZIDENATA KOJE ISPLAĆUJU NEPROFITNE ORGANIZACIJE DO PROPISANOG IZNOSA |
|||||||
|
X. |
PODACI O BROJU OSOBA I NAKNADI UTVRĐENOJ SUKLADNO ODREDBAMA ZAKONA O PROFESIONALNOJ REHABILITACIJI I ZAPOŠLJAVANJU OSOBA S INVALIDITETOM |
|||||||
|
1. |
Broj osoba s invaliditetom koje je obveznik bio dužan zaposliti |
|||||||
|
2. |
Iznos obračunane naknade |
|||||||
|
IZVJEŠĆE SASTAVIO (IME, PREZIME I POTPIS) |
_________________________________ |
POTPIS OVLAŠTENE OSOBE |
_____________________________________ |
||
|
POTPIS SLUŽBENIKA PU |
___________________________________ |
DATUM PRIMITKA |
|____|____| |
|____|____| |
|___|___|___|___| |
PRILOG 1.
|
1. Podnositelj izvješća |
|
|
Oznaka |
Opis |
|
1 |
Pravna osoba |
|
2 |
Fizička osoba koja obavlja samostalnu djelatnost i po toj osnovi obveznik je poreza na dohodak ili poreza na dobit |
|
3 |
Poslodavci diplomatske misije i konzularni uredi stranih država i međunarodnih organizacija koji u Republici Hrvatskoj uživaju diplomatski imunitet za doprinose obračunane za osiguranike po osnovi radnog odnosa |
|
4 |
Ostale fizičke osobe |
|
5 |
Ostali poslovni subjekti |
|
6 |
Nadležno ministarstvo za obrazovanje za: - učenike i studente na dodiplomskom studiju na praktičnoj nastavi ili na stručnoj praksi te stručnim putovanjima i - djecu i mladež sa smetnjama u tjelesnom i duševnom razvoju na praktičnoj nastavi ili na obveznom praktičnom radu kada je škola ili ustanova obveznik podnošenja a nadležno ministarstvo obveznik uplate doprinosa |
|
7 |
HZMO kada je HZMO obveznik podnošenja a nadležno ministarstvo obveznik uplate doprinosa |
|
8 |
HZZO kada je HZZO obveznik podnošenja a nadležno ministarstvo obveznik uplate doprinosa |
|
9 |
Ostala tijela (izuzevši HZMO i HZZO) kada su ostala tijela, sukladno odredbama Zakona o doprinosima ili odredbama posebnih propisa obveznici obračunavanja a nadležno ministarstvo obveznik uplate doprinosa |
|
10 |
Platni agent kada platni agent sukladno ugovoru sa isplatiteljem dividende u njegovo ime i za njegov račun isplaćuje dividendu dioničarima fizičkim osobama |
|
11 |
Poslodavac u stečaju u slučaju izravne isplate plaće koju Agencija za osiguranje radničkih potraživanja u slučaju stečaja poslodavaca isplaćuje radniku |
|
12 |
Osiguranik po osnovi rada kod poslodavca s registriranim sjedištem ili mjestom poslovanja u drugoj državi članici Europske unije koji je od tog poslodavca preuzeo obvezu doprinosa |
|
13 |
Poslodavac u slučaju kada druga osoba umjesto toga poslodavca isplaćuje plaću |
PRILOG 2.
|
2. Stjecatelj primitka/osiguranik |
|
|
Oznaka |
Opis |
|
0001-0299 |
STJECATELJ PRIMITKA OD NESAMOSTALNOG RADA |
|
0001 – 0019 |
Radnik/osiguranik po osnovi radnog odnosa |
|
0001 |
Radnik/osiguranik po osnovi radnog odnosa |
|
0002 |
Radnik/osiguranik po osnovi radnog odnosa – osoba koja se prvi put zapošljava prema odredbama Zakona o doprinosima |
|
0003 |
Radnik/osiguranik po osnovi radnog odnosa – novozaposlena osoba prema odredbama Zakona o poticanju zapošljavanja |
|
0004 |
Fizička osoba izaslana na rad u Republiku Hrvatsku po nalogu inozemnog poslodavca ili poslodavca iz druge države članice Europske unije u tuzemna društva za rad u tim društvima |
|
0005 |
Radnik/osiguranik koji je temeljem radnog odnosa izaslan na rad u inozemstvo |
|
0006 |
Radnik/osiguranik koji je temeljem radnog odnosa izaslan na rad u inozemstvo ili drugu državu članicu Europske unije – osoba koja se prvi put zapošljava prema odredbama Zakona o doprinosima |
|
0007 |
Radnik/osiguranik koji je temeljem radnog odnosa izaslan na rad u inozemstvo ili drugu državu članicu Europske unije – novozaposlena osoba prema odredbama Zakona o poticanju zapošljavanja |
|
0008 |
Članovi predstavničkih i izvršnih tijela državne vlasti i jedinica lokalne i područne (regionalne) samouprave (izabrane i imenovane osobe) po osnovi primitaka (plaće) koji im se isplaćuju za rad u tim tijelima i jedinicama |
|
0009 |
Ostali stjecatelji/osiguranici po osnovi radnog odnosa/plaće |
|
0010 |
Radnik/osiguranik po osnovi radnog odnosa – mlada osoba prema odredbama Zakona o doprinosima |
|
0011 |
Radnik/osiguranik koji je temeljem radnog odnosa izaslan na rad u inozemstvo – mlada osoba prema odredbama Zakona o doprinosima |
|
0021 – 0029 |
Radnik/osiguranik po osnovi rada u kućanstvu |
|
0021 |
Radnik/osiguranik po osnovi radnog odnosa–rad u kućanstvu |
|
0022 |
Radnik/osiguranik po osnovi radnog odnosa–rad u kućanstvu koji se prvi put zapošljava prema odredbama Zakona o doprinosima |
|
0023 |
Radnik/osiguranik po osnovi radnog odnosa–rad u kućanstvu koji se prvi put zapošljava prema odredbama Zakona o poticanju zapošljavanja |
|
0024 |
Ostali stjecatelji/osiguranici po osnovi radnog odnosa–rad u kućanstvu |
|
0025 |
Radnik/osiguranik po osnovi radnog odnosa–rad u kućanstvu mlada osoba prema odredbama Zakona o doprinosima |
|
0031 – 0039 |
Stjecatelj primitka/osiguranik po osnovi poduzetničke plaće |
|
0031 |
Stjecatelj/osiguranik – trgovac pojedinac |
|
0032 |
Ostali stjecatelji/osiguranici koji obavljaju samostalnu djelatnost i po toj osnovi obveznici su poreza na dobit |
|
0033 |
Stjecatelji/osiguranici koji ostvaruju primitke od imovine i imovinskih prava od kojih, prema propisima o porezu na dohodak, utvrđuju dohodak od imovine i imovinskih prava, ali su promijenili način utvrđivanja dohotka, pa prema tim primicima utvrđuju dobiti |
|
0041 – 0049 |
Stjecatelj primitka/osiguranik po osnovi obavljanja samostalne djelatnosti koji od obavljanja tih djelatnosti, sukladno propisima o porezu na dohodak, utvrđuju dohodak od samostalne djelatnosti |
|
0041 |
Stjecatelj primitka/osiguranik po osnovi obavljanja samostalne djelatnosti obrta |
|
0042 |
Stjecatelj primitka/osiguranik po osnovi obavljanja samostalne djelatnosti slobodnog zanimanja (profesionalne djelatnosti) koji obavlja djelatnosti medicinske sestre, zubotehničara, fizioterapeuta, filmskog radnika, novinara i predstavnik obiteljskog doma |
|
0043 |
Ostali nenavedeni stjecatelji primitka/osiguranici po osnovi obavljanja samostalne djelatnosti slobodnog zanimanja i sportaši (profesionalne djelatnosti) |
|
0044 |
Stjecatelj primitka/osiguranik po osnovi obavljanja samostalne djelatnosti poljoprivrede i šumarstva |
|
0045 |
Stjecatelji/osiguranici koji ostvaruju primitke od imovine i imovinskih prava od kojih, prema propisima o porezu na dohodak, utvrđuju dohodak od imovine i imovinskih prava, ali su promijenili način utvrđivanja dohotka, pa prema tim primicima utvrđuju dohodak od samostalne djelatnosti (članak 7. točka 5.3. Zakona o doprinosima) |
|
0046 |
Ostali stjecatelj primitka/osiguranik po osnovi obavljanja ostalih samostalnih djelatnosti (članak 7. točka 5.1.,5.2. i 5.4. Zakona o doprinosima) |
|
0101-0119 |
Umirovljenik/stjecatelj mirovine-isplatitelj HZMO |
|
0101 |
Umirovljenik korisnik starosne mirovine |
|
0102 |
Stjecatelj obiteljske mirovine koja podliježe oporezivanju |
|
0103 |
Stjecatelj obiteljske mirovine koja ne podliježe oporezivanju, ali po osnovi koje postoji obveza doprinosa |
|
0104 |
Umirovljenik korisnik invalidske mirovine |
|
0105 |
Stjecatelj invalidske mirovine zbog profesionalne nesposobnosti za rad koja se isplaćuje umirovljenicima obvezno osiguranim po osnovi radnog odnosa ili obavljanja samostalne djelatnosti |
|
0106 |
Umirovljenik korisnik mirovine prema Zakonu o pravima hrvatskih branitelja iz Domovinskog rata i članova njihovih obitelji |
|
0107 |
Ostali stjecatelji mirovine prema posebnom propisu |
|
0108 |
Stjecatelji ostalih mirovina |
|
0121 |
Stjecatelji mirovine-ostali isplatitelji |
|
0201 |
Stjecatelj primitka od nesamostalnog rada koji se prema propisima o porezu na dohodak oporezuje kao dohodak od nesamostalnog rada, a prema propisima o doprinosima kao drugi dohodak |
|
1001-1999 |
STJECATELJ PRIMITKA OD KAPITALA |
|
1001 |
Stjecatelj primitka od kojega se utvrđuje dohodak od kapitala |
|
1002 |
Stjecatelj primitka od kojega se utvrđuje dohodak od kapitala, a pri obračunu primjenjuje se poreza stopa propisana odredbama ugovora o izbjegavanju dvostrukog oporezivanja |
|
1003 |
Stjecatelj primitka od kojega se utvrđuje dohodak od kapitala ostvaren iz inozemstva ili druge države članice Europske unije |
|
1004 |
Stjecatelj primitka od kojega se utvrđuje dohodak od kapitala ostvaren izravno iz inozemstva ili druge države članice Europske unije, a pri obračunu primjenjuje se poreza stopa propisana odredbama ugovora o izbjegavanju dvostrukog oporezivanja |
|
1101-1109 |
Stjecatelj primitka od kapitala od kojega se utvrđuje dohodak od kapitala po osnovi prihoda od kamata |
|
1101 |
Stjecatelj primitka od kojega se utvrđuje dohodak od kapitala po osnovi prihoda od kamata |
|
1102 |
Stjecatelj primitka od kojega se utvrđuje dohodak od kapitala po osnovi prihoda od kamata, a pri obračunu primjenjuje se poreza stopa propisana odredbama ugovora o izbjegavanju dvostrukog oporezivanja |
|
1103 |
Stjecatelj primitka od kojega se utvrđuje dohodak od kapitala po osnovi prihoda od kamata ostvaren iz inozemstva ili druge države članice Europske unije |
|
1104 |
Stjecatelj primitka od kojega se utvrđuje dohodak od kapitala po osnovi prihoda od kamata ostvaren izravno iz inozemstva ili druge države članice Europske unije, a pri obračunu primjenjuje se poreza stopa propisana odredbama ugovora o izbjegavanju dvostrukog oporezivanja |
|
2001-2999 |
STJECATELJ PRIMITKA OD IMOVINE I IMOVINSKIH PRAVA |
|
2001 |
Stjecatelj primitka od kojega se utvrđuje dohodak od imovinskih prava |
|
2002 |
Stjecatelj primitka od kojega se utvrđuje dohodak od imovinskih prava, a pri obračunu primjenjuje se poreza stopa propisana odredbama ugovora o izbjegavanju dvostrukog oporezivanja |
|
2003 |
Stjecatelj primitka od kojega se utvrđuje dohodak od imovinskih prava ostvaren iz inozemstva ili druge države članice Europske unije |
|
2004 |
Stjecatelj primitka od kojega se utvrđuje dohodak od imovinskih prava ostvaren izravno iz inozemstva ili druge države članice Europske unije, a pri obračunu primjenjuje se poreza stopa propisana odredbama ugovora o izbjegavanju dvostrukog oporezivanja |
|
2005 |
Stjecatelj primitka od kojega se utvrđuje dohodak od posebnih vrsta imovine |
|
3001-3999 |
STJECATELJ PRIMITKA OD OSIGURANJA |
|
3001 |
Stjecatelj primitka od kojega se utvrđuje dohodak od osiguranja |
|
4001-4999 |
STJECATELJ PRIMITKA OD KOJEGA SE UTVRĐUJE DRUGI DOHODAK |
|
4001 |
Osiguranik/stjecatelj primitka od kojega se utvrđuje drugi dohodak, a po osnovi kojeg ne postoji obveza doprinosa |
|
4002 |
Osiguranik/stjecatelj primitka od kojega se utvrđuje drugi dohodak, a po osnovi kojeg postoji obveza doprinosa |
|
5001-5799 |
OSTALI OSIGURANICI |
|
5001–5009 |
Osiguranik posebnog doprinosa za korištenje zdravstvene zaštite u inozemstvu |
|
5001 |
Osiguranik na radu ili stručnom usavršavanju, odnosno obrazovanju u inozemstvu duže od 30 dana |
|
5002 |
Osiguranik upućen na službeni put u inozemstvo u trajanju do 30 dana |
|
5101-5699 |
Osiguranik/stjecatelj naknade plaće, prava iz osiguranja koja se financiraju na teret nositelja osiguranja ili državnog proračuna i osiguranja u određenim okolnostima |
|
5101 - 5199 |
Obveznik obračunavanja-HZMO |
|
5101 |
Osiguranik po osnovi korisnika invalidske mirovine zbog profesionalne nesposobnosti za rad |
|
5102 |
Osiguranik po osnovi roditelja koji obavlja roditeljske dužnosti |
|
5103 |
Osiguranik koji naknadu plaće ostvaruje na teret sredstava mirovinskog osiguranja na temelju generacijske solidarnosti |
|
5104 |
Osiguranik – osoba s invaliditetom kojoj se staž mirovinskog osiguranja računa s povećanim trajanjem |
|
5201-5299 |
Obveznik obračunavanja-HZZO |
|
5201 |
Osiguranik koji naknadu plaće za vrijeme bolovanja ostvaruje na teret sredstava nositelja obveznoga zdravstvenog osiguranja - općenito ( |
|
5202 |
Osiguranik koji naknadu plaće odnosno novčanu naknadu za vrijeme bolovanja ostvaruje na teret sredstava državnog proračuna – općenito |
|
5203 |
Osiguranik koji naknadu plaće ostvaruje za vrijeme korištenja rodiljnog dopusta i dopusta radi smrti djeteta tijekom rodiljnog dopusta, a kojem se naknada plaće isplaćuje na teret HZZO-a |
|
5204 |
Osiguranik koji naknadu plaće ostvaruje za vrijeme korištenja roditeljskog dopusta, posvojiteljskog dopusta, skraćenog radnog vremena radi pojačane njege djeteta, stanke za dojenje, a kojemu se naknada isplaćuje na teret državnog proračuna |
|
5205 |
Osiguranik koji naknadu plaće ostvaruje nakon prestanka radnog odnosa, a kojemu se naknada plaće isplaćuje na teret HZZO-a |
|
5206 |
Osiguranik koji ostvaruje naknadu plaće nakon prestanka radnog odnosa, a kojemu se naknada plaće isplaćuje na teret državnog proračuna |
|
5207 |
Osiguranik koji ostvaruje naknadu plaće za vrijeme komplikacija u trudnoći, a kojemu se naknada isplaćuje na teret HZZO-a |
|
5208 |
Osiguranik koji ostvaruje naknadu plaće za vrijeme privremene nesposobnosti za rad zbog rane, ozljede ili bolesti koja je neposredna posljedica sudjelovanja u Domovinskom ratu, a kojemu se naknada isplaćuje na teret HZZO-a |
|
5209 |
Osiguranik koji ostvaruje naknadu plaće za vrijeme bolovanja, koje je posljedica ozljede na radu ili profesionalne bolesti, a kojemu se naknada isplaćuje na teret HZZO-a |
|
5210 |
Osiguranik koji ostvaruje naknadu plaće po osnovi roditelja djeteta s težim smetnjama u razvoju koji ima pravo na dopust za njegu djeteta do navršene sedme godine djetetova života, a kojemu se naknada plaće isplaćuje na teret državnog proračuna |
|
5211 |
Osiguranik koji ostvaruje naknadu plaće po osnovi roditelja djeteta s težim smetnjama u razvoju koji ima pravo na rad s polovicom radnog vremena zbog njege djeteta kojem se naknada plaće isplaćuje na teret državnog proračuna |
|
5212 |
Ostali osiguranici prema kojima HZZO ima obvezu obračuna doprinosa za mirovinsko osiguranje na temelju individualne kapitalizirane štednje na minimalnu osnovicu za obračun doprinosa na teret državnog proračuna |
|
5213 |
Ostali osiguranici prema kojima HZZO ima obvezu obračuna doprinosa za mirovinsko osiguranje na temelju individualne kapitalizirane štednje po osnovi naknade plaće na teret državnog proračuna |
|
5301-5399 |
Obveznik obračunavanja-HZZ |
|
5301 |
Osiguranik po osnovi nezaposlena osoba (za obvezu doprinosa za mirovinsko osiguranje na temelju individualne kapitalizirane štednje) |
|
5302 |
Osiguranici po osnovi nezaposlene osobe za vrijeme stručnog osposobljavanja ili profesionalne rehabilitacije na koje ih je uputila nadležna služba zapošljavanja |
|
5401-5499 |
Obveznik obračunavanja-mjerodavno ministarstvo |
|
5401 |
Osiguranik po osnovi roditelja–njegovatelja, ministarstvo mjerodavno za socijalnu skrb ili drugo tijelo sukladno posebnom propisu |
|
5402 |
Osiguranik po osnovi produženog mirovinskog osiguranja – bračnog druga profesionalnog odnosno ugovornog diplomata i osiguranik posebnog doprinosa za korištenje zdravstvene zaštite u inozemstvu za članove obitelji profesionalnog odnosno ugovornog diplomata |
|
5403 |
Osiguranik koji ostvaruje naknadu plaće po osnovi pružanja njege i pomoći hrvatskim ratnim vojnim invalidima iz Domovinskog rata I. skupine |
|
5501-5599 |
Obveznik obračunavanja-posrednik pri zapošljavanju učenika i redovitih studenata |
|
5501 |
Osiguranik/stjecatelj primitka po osnovi učenika i redovitog studenta za vrijeme rada preko posrednika pri zapošljavanju |
|
5601-5699 |
Obveznik obračunavanja-osoba koja vrši prijavu na osiguranje i mjerodavna ministarstva |
|
5601 |
Osiguranik po osnovi osobe koja je prekinula rad, a bivši ju je poslodavac uputio na obrazovanje ili stručno usavršavanje |
|
5602 |
Osiguranik po osnovi osobe koju je pravna ili fizička osoba, prije stupanja u radni odnos, uputila na praktični rad |
|
5603 |
Osiguranik po osnovi osobe upućene u inozemstvo u sklopu međunarodne tehničko-prosvjetne i kulturne suradnje |
|
5604 |
Ostali osiguranici mirovinskog osiguranja u određenim okolnostima i zdravstvenog osiguranja zaštite zdravlja na radu za slučaj ozljede na radu i profesionalne bolesti |
|
5605 |
Osiguranik po osnovi stranca za kojega troškove zdravstvene zaštite snosi davatelj stipendije |
|
5608 |
Osiguranik po osnovi slobodnog zanimanja–samostalnog umjetnika kojemu se doprinosi plaćaju iz državnog proračuna |
|
5701-5799 |
Osiguranik na stručnom osposobljavanju |
|
5701 |
Osiguranik po osnovi stručnog osposobljavanja za rad bez zasnivanja radnog odnosa prema Zakonu o radu |
|
5702 |
Osiguranik po osnovi stručnog osposobljavanja za rad bez zasnivanja radnog odnosa prema odredbama Zakona o poticanju zapošljavanja |
PRILOG 3.
|
3. Primici/obveze doprinosa |
||
|
Oznaka |
Opis |
|
|
PRIMICI OD NESAMOSTALNOG RADA |
||
|
Primici po osnovi radnog odnosa (plaća) |
||
|
0001-0019 |
Primici po osnovi plaće |
|
|
0001 |
Primici po osnovi plaće |
|
|
0002 |
Primici po osnovi plaće, a koja je viša od najviše mjesečne osnovice za obračun doprinosa |
|
|
0003 |
Primici po osnovi plaće, a koja je viša od najviše godišnje osnovice za obračun doprinosa |
|
|
0004 |
Naknadni obračun i isplata plaće za razdoblje koje je ranije od 1.1. 2003. |
|
|
0005 |
Primici po osnovi plaće člana uprave ili izvršnog direktora trgovačkog društva ili upravitelj zadruge koji je jednaka ili niža od propisane osnovice za obračun doprinosa |
|
|
0006 |
Primici po osnovi plaće člana uprave ili izvršnog direktora trgovačkog društva ili upravitelj zadruge ukoliko se plaća ne isplaćuje |
|
|
0021-0039 |
Ostali primici od nesamostalnog rada iz članka 22. Zakona o doprinosima |
|
|
0021 |
Ostali primici koji se isplaćuju uz plaću |
|
|
0022 |
Ostali primici koji se isplaćuju uz plaću a koji su viši od najviše godišnje osnovice za obračun doprinosa |
|
|
0023 |
Obveza doprinosa za ostale neoporezive primitke koji bi bili oporezivi porezom na dohodak da odredbama ugovora o izbjegavanju dvostrukog oporezivanja nije drukčije uređeno, a koji se isplaćuju uz plaću za rad u određenom mjesecu ili godini i koji se pripisuju tom mjesecu ili godini |
|
|
0024 |
Obveza doprinosa za ostale neoporezive primitke koji bi bili oporezivi porezom na dohodak da odredbama ugovora o izbjegavanju dvostrukog oporezivanja nije drukčije uređeno, a koji se isplaćuju uz plaću za rad u određenom mjesecu ili godini i pripisuju se tom mjesecu ili godini, a koji su viši od najviše godišnje osnovice za obračun doprinosa |
|
|
0025 |
Ostali primici koji se isplaćuju uz plaću a koji se odnose se na otpremninu |
|
|
0026 |
Ostali primici koji se isplaćuju uz plaću a koji se odnose se na otpremninu a koji su viši od najviše godišnje osnovice za obračun doprinosa |
|
|
0027 |
Ostali primici koji se isplaćuju uz plaću a koji se odnose se na bonuse i nagrade menadžmentu društva, članovima uprave i nadzornog odbora trgovačkog društva, te izvršnim i neizvršnim direktorima dioničkog društva |
|
|
0028 |
Ostali primici koji se isplaćuju uz plaću a koji se odnose se na bonuse i nagrade menadžmentu društva, članovima uprave i nadzornog odbora trgovačkog društva, te izvršnim i neizvršnim direktorima dioničkog društva a koji su viši od najviše godišnje osnovice za obračun doprinosa |
|
|
0029 |
Neisplaćena otpremnina |
|
|
0030 |
Neisplaćena otpremnina koja je viša od najviše godišnje osnovice za obračun doprinosa |
|
|
0031 |
Naknadna isplata neisplaćene otpremnine |
|
|
0032 |
Ostali obračunani, a neisplaćeni primici iz članka 22. Zakona o doprinosima |
|
|
0033 |
Ostali obračunani, a neisplaćeni primici iz članka 22. Zakona o doprinosima koji su viši od najviše godišnje osnovice za obračun doprinosa |
|
|
0034 |
Naknadna isplata ostalih obračunanih, a neisplaćenih primitaka iz članka 22. Zakona o doprinosima |
|
|
0041-0049 |
Obračun poreza na dohodak i doprinosa za mjesec dana rada ili kraće od mjesec dana po osnovi radnog odnosa kada plaća nije isplaćena |
|
|
0041 |
Obračun poreza na dohodak i doprinosa po osnovi plaće |
|
|
0042 |
Obračun poreza na dohodak i doprinosa po osnovi plaće, a koja je viša od najviše mjesečne osnovice za obračun doprinosa |
|
|
0043 |
Obračun poreza na dohodak i doprinosa po osnovi plaće, a koja je viša od najviše godišnje osnovice za obračun doprinosa |
|
|
0044 |
Naknadni obračun doprinosa po osnovi plaće za razdoblje do 31. prosinca 2002. |
|
|
0045 |
Obračun doprinosa primjenom najniže osnovice ukoliko ne postoji obveza isplate plaće |
|
|
0046 |
Obračun ukoliko ne postoji obveza doprinosa za određene dane u mjesecu u osiguranju |
|
|
0051-0059 |
Isplata zaostale plaće za mjesec dana rada ili kraće od mjesec dana za koju je prethodno izvršen obračun i zaduženi su doprinosi na punu osnovicu za radni odnos |
|
|
0051 |
Isplata zaostale plaće za koju je prethodno izvršen obračun i zadužen je porez na dohodak i doprinosi prema plaći |
|
|
0052 |
Isplata zaostale plaće za razdoblje do 31. prosinca 2002., a za koju je prethodno izvršen obračun i zaduženi su doprinosi na minimalnu osnovicu |
|
|
0061-0069 |
Obračun obveze doprinosa za mjesec dana rada ili kraće od mjesec dana izaslanog radnika za koje se sukladno međunarodnom ugovoru ne obračunava predujam poreza na dohodak i prireza |
|
|
0061 |
Obračun obveze doprinosa izaslanog radnika u slučaju isplate plaće |
|
|
0062 |
Obračun obveze doprinosa izaslanog radnika, a koja je viša od najviše mjesečne osnovice za obračun doprinosa u slučaju isplate plaće |
|
|
0063 |
Obračun obveze doprinosa izaslanog radnika, a koja je viša od najviše godišnje osnovice za obračun doprinosa u slučaju isplate plaće |
|
|
0064 |
Naknadni obračun obveze doprinosa izaslanog radnika za razdoblje do 31. prosinca 2002. u slučaju isplate plaće |
|
|
0065 |
Obračun obveze doprinosa izaslanog radnika u slučaju neisplate plaće |
|
|
0066 |
Obračun obveze doprinosa izaslanog radnika, a koja je viša od najviše mjesečne osnovice za obračun doprinosa u slučaju neisplate plaće |
|
|
0067 |
Obračun obveze doprinosa izaslanog, a koja je viša od najviše godišnje osnovice za obračun doprinosa u slučaju neisplate plaće |
|
|
0068 |
Naknadni obračun obveze doprinosa izaslanog radnika za razdoblje do 31. prosinca 2002. u slučaju neisplate plaće |
|
|
0071-0079 |
Obveze iz radnog odnosa – za osobu koja je izaslana na rad u Republiku Hrvatsku |
|
|
0071 |
Obračun poreza na dohodak po osnovi plaće za rad osobi koja je izaslana na rad u Republiku Hrvatsku po nalogu inozemnog poslodavca u tuzemna društva za rad u tim društvima u slučaju isplate plaće |
|
|
0072 |
Obračun poreza na dohodak po osnovi ostalih primitaka osobi koja je izaslana na rad u Republiku Hrvatsku po nalogu inozemnog poslodavca u tuzemna društva za rad u tim društvima |
|
|
0073 |
Isplata zaostale plaće za rad osobi koja je izaslana na rad u Republiku Hrvatsku po nalogu inozemnog poslodavca u tuzemna društva za rad u tim društvima |
|
|
0081-0099 |
Obveze iz radnog odnosa – za osobu koja radi za poslodavca u inozemstvu ili sa sjedištem u inozemstvu ili u drugoj državi članici Europske unije u Republici Hrvatskoj ili u diplomatskoj misiji ili konzularnom uredu strane države ili međunarodnih organizacija koje u Republici Hrvatskoj uživaju diplomatski imunitet i obveze iz radnog odnosa – stalnog sezonskog radnika |
|
|
0081 |
Obračun poreza na dohodak osiguraniku po osnovi plaće za mjesec dana rada u diplomatskoj misiji ili konzularnom uredu strane države ili međunarodnih organizacija koje u Republici Hrvatskoj uživaju diplomatski imunitet |
|
|
0082 |
Obračun doprinosa osiguraniku po osnovi plaće za mjesec dana rada u diplomatskoj misiji ili konzularnom uredu strane države ili međunarodnih organizacija koje u Republici Hrvatskoj uživaju diplomatski imunitet |
|
|
0083 |
Obračun poreza na dohodak po osnovi plaće za rad za inozemnog poslodavca, plaće za mjesec dana rada u Republici Hrvatskoj za poslodavca iz druge države članice Europske unije ili sa sjedištem u drugoj državi članici Europske unije odnosno rada za tuzemnog poslodavca kada se doprinosi plaćaju u drugoj državi članici Europske unije |
|
|
0084 |
Obračun doprinosa po osnovi plaće za mjesec dana rada u Republici Hrvatskoj za poslodavca iz druge države članice Europske unije ili sa sjedištem u drugoj državi članici Europske unije |
|
|
0086 |
Obračun poreza na dohodak i doprinosa osiguraniku po osnovi plaće za rad u diplomatskoj misiji ili konzularnom uredu strane države ili međunarodnih organizacija koje u Republici Hrvatskoj uživaju diplomatski imunitet |
|
|
0087 |
Obračun doprinosa osiguraniku po osnovi plaće za rad u diplomatskoj misiji ili konzularnom uredu strane države ili međunarodnih organizacija koje u Republici Hrvatskoj uživaju diplomatski imunitet, a koja je viša od najviše mjesečne osnovice |
|
|
0088 |
Obračun doprinosa osiguraniku po osnovi plaće za rad u diplomatskoj misiji ili konzularnom uredu strane države ili međunarodnih organizacija koje u Republici Hrvatskoj uživaju diplomatski imunitet, a koja je viša od najviše godišnje osnovice |
|
|
0090 |
Obračun doprinosa po osnovi plaće za mjesec dana rada u Republici Hrvatskoj za poslodavca iz druge države članice Europske unije ili sa sjedištem u drugoj državi članici Europske unije koja je viša od najviše mjesečne osnovice |
|
|
0091 |
Obračun obveze doprinosa (produženo mirovinsko osiguranje) za mjesec dana osiguranja ili kraće, stalnog sezonskog radnika |
|
|
0092 |
Obračun doprinosa po osnovi plaće za mjesec dana rada u Republici Hrvatskoj za poslodavca iz druge države članice Europske unije ili sa sjedištem u drugoj državi članici Europske unije, a koja je viša od najviše godišnje osnovice |
|
|
0093 |
Obračun poreza na dohodak po osnovi ostalih primitaka za rad za inozemnog poslodavca, rad za poslodavca iz druge države članice Europske unije odnos rad za tuzemnog poslodavca kada se doprinosi plaćaju u drugoj državi članici Europske unije |
|
|
0094 |
Obračun doprinosa po osnovi ostalih primitaka za rad u Republici Hrvatskoj za poslodavca iz druge države članice Europske unije ili sa sjedištem u drugoj državi članici Europske unije |
|
|
0095 |
Obračun doprinosa po osnovi ostalih primitaka za rad u Republici Hrvatskoj za poslodavca iz druge države članice Europske unije ili sa sjedištem u drugoj državi članici Europske unije, a koji su viši od najviše godišnje osnovice |
|
|
0096 |
Obračun poreza na dohodak osiguraniku po osnovi ostalih primitaka za rad u diplomatskoj misiji ili konzularnom uredu strane države ili međunarodnih organizacija koje u Republici Hrvatskoj uživaju diplomatski imunitet |
|
|
0097 |
Obračun doprinosa osiguraniku po osnovi ostalih primitaka za rad u diplomatskoj misiji ili konzularnom uredu strane države ili međunarodnih organizacija koje u Republici Hrvatskoj uživaju diplomatski imunitet |
|
|
0098 |
Obračun doprinosa osiguraniku po osnovi ostalih primitaka za rad u diplomatskoj misiji ili konzularnom uredu strane države ili međunarodnih organizacija koje u Republici Hrvatskoj uživaju diplomatski imunitet koji su viši od najviše godišnje osnovice |
|
|
0101-0119 |
Poduzetnička plaća |
|
|
0101 |
Primici po osnovi poduzetničke plaće koja je jednaka ili viša od propisane osnovice za obračun doprinosa |
|
|
0102 |
Primici po osnovi poduzetničke plaće koji su niži od propisane osnovice za obračun doprinosa |
|
|
0103 |
Obveze poduzetnika za doprinose prema propisanoj osnovici ukoliko se ne isplaćuje poduzetnička plaća |
|
|
0201-0299 |
Primici po osnovi radnog odnosa isplaćeni temeljem sudske presude ili nagodbe iz članka 25. stavka 6. Zakona o porezu na dohodak |
|
|
0201 |
Primici po osnovi isplate plaće prema sudskoj presudi ili nagodbi za prethodna porezna razdoblja po osnovi koje prethodno nije izvršen obračun i nisu zaduženi doprinosi |
|
|
0202 |
Primici po osnovi isplate plaće prema sudskoj presudi ili nagodbi za prethodna porezna razdoblja po osnovi koje prethodno nije izvršen obračun i nisu zaduženi doprinosi, a koja je viša od najviše mjesečne osnovice za obračun doprinosa |
|
|
0203 |
Primici po osnovi isplate plaće prema sudskoj presudi ili nagodbi za prethodna porezna razdoblja po osnovi koje prethodno nije izvršen obračun i nisu zaduženi doprinosi, a koja je viša od najviše godišnje osnovice za obračun doprinosa |
|
|
0204 |
Obračun doprinosa po osnovi plaće za mjesec dana rada ili kraće, prema sudskoj presudi ili nagodbi za prethodna porezna razdoblja po osnovi koje prethodno nije izvršen obračun i nisu zaduženi doprinosi (neisplata plaće) |
|
|
0205 |
Obračun doprinosa po osnovi plaće za mjesec dana rada ili kraće, prema sudskoj presudi ili nagodbi za prethodna porezna razdoblja po osnovi koje prethodno nije izvršen obračun i nisu zaduženi doprinosi, a koja je viša od najviše mjesečne osnovice za obračun doprinosa (neisplata plaće) |
|
|
0206 |
Obračun doprinosa po osnovi plaće za mjesec dana rada ili kraće, prema sudskoj presudi ili nagodbi za prethodna porezna razdoblja po osnovi koje prethodno nije izvršen obračun i nisu zaduženi doprinosi, a koja je viša od najviše godišnje osnovice za obračun doprinosa (neisplata plaće) |
|
|
0207 |
Obračun doprinosa na osnovicu |
|
|
0208 |
Obračun poreza na dohodak prema plaći utvrđenoj prema sudskoj presudi ili nagodbi za prethodna porezna razdoblja za koju je prethodno izvršen obračun i zaduženi su doprinosi za obveza osiguranja (naknadna isplata plaće) |
|
|
0209 |
Primici po osnovi isplate plaće prema sudskoj presudi ili nagodbi za prethodna porezna razdoblja do 31. prosinca 2002. i za koju je prethodno izvršen obračun doprinosa primjenom minimalne osnovice |
|
|
0210 |
Primici po osnovi isplate plaće prema sudskoj presudi ili nagodbi osobi koja je izaslana na rad u Republiku Hrvatsku |
|
|
0211 |
Obračun poreza na dohodak osiguraniku po osnovi rada u diplomatskoj misiji ili konzularnom uredu strane države ili međunarodnih organizacija koji u Republici Hrvatskoj uživaju diplomatski imunitet na primitak ostvaren temeljem sudske presude ili nagodbe |
|
|
0212 |
Obračun doprinosa osiguraniku po osnovi rada u diplomatskoj misiji ili konzularnom uredu strane država ili međunarodnih organizacija koji u Republici Hrvatskoj uživaju diplomatski imunitet na primitak ostvaren temeljem sudske presude ili nagodbe |
|
|
0213 |
Primici po osnovi isplate plaće prema sudskoj presudi ili nagodbi osobi koja je zaposlena kod poslodavca u inozemstvu ili sa sjedištem u inozemstvu |
|
|
0214 |
Obračun obveze doprinosa za mjesec dana osiguranja ili kraće, stalnog sezonskog radnika prema sudskoj presudi ili nagodbi za prethodna porezna razdoblja po osnovi koje prethodno nije izvršen obračun i nisu zaduženi doprinosi |
|
|
0215 |
Obračun doprinosa po osnovi prethodno isplaćene plaće i obračunanog i uplaćenog poreza za mjesec dana rada ili kraće, prema sudskoj presudi ili nagodbi za prethodna porezna razdoblja po osnovi koje prethodno nisu zaduženi doprinosi |
|
|
0216 |
Obračun doprinosa po osnovi prethodno isplaćene plaće (radniku ili nasljednicima) i obračunanog i uplaćenog poreza za mjesec dana rada ili kraće, prema sudskoj presudi ili nagodbi za prethodna porezna razdoblja po osnovi koje prethodno nisu zaduženi doprinosi, a koja je viša od najviše mjesečne osnovice za obračun doprinosa |
|
|
0217 |
Obračun doprinosa po osnovi prethodno isplaćene plaće i obračunanog i uplaćenog poreza za mjesec dana rada ili kraće, prema sudskoj presudi ili nagodbi za prethodna porezna razdoblja po osnovi koje prethodno nije izvršen obračun i nisu zaduženi doprinosi, a koja je viša od najviše godišnje osnovice za obračun doprinosa |
|
|
0218 |
Primici po osnovi isplate ostalih primitaka uz plaću prema sudskoj presudi ili nagodbi |
|
|
0219 |
Primici po osnovi isplate ostalih primitaka uz plaću prema sudskoj presudi ili nagodbi koji su viši od najviše godišnje osnovice za obračun doprinosa |
|
|
0220 |
Obračun doprinosa po osnovi isplate ostalih primitaka uz plaću prema sudskoj presudi ili nagodbi u slučaju isplate nasljednicima |
|
|
0221 |
Obračun doprinosa po osnovi isplate ostalih primitaka uz plaću prema sudskoj presudi ili nagodbi u slučaju isplate nasljednicima, a koji su viši od najviše godišnje osnovice za obračun doprinosa |
|
|
0222 |
Obračun poreza na dohodak po osnovi isplate ostalih primitaka uz plaću prema sudskoj presudi ili nagodbi u slučaju isplate nasljednicima |
|
|
Primici po osnovi mirovina |
||
|
0301-0319 |
Mirovine koje isplaćuje HZMO, a koje ne podliježu obvezi dodatnog doprinosa za zdravstveno osiguranje iz mirovina |
|
|
0301 |
Mirovine koje ne podliježu obvezi dodatnog doprinosa za zdravstveno osiguranje iz mirovina |
|
|
0302 |
Mirovine ili razlike mirovina koje ne podliježu obvezi dodatnog doprinosa za zdravstveno osiguranje iz mirovina, a koje se isplaćuju za više proteklih mjeseci istoga poreznog razdoblja (iste kalendarske godine) |
|
|
0303 |
Mirovine ili razlike mirovina koje ne podliježu obvezi dodatnog doprinosa za zdravstveno osiguranje iz mirovina, a koje se isplaćuju za protekla porezna razdoblja (kalendarske godine) |
|
|
0321-0329 |
Mirovine koje isplaćuje HZMO, a koje podliježu obvezi dodatnog doprinosa za zdravstveno osiguranje iz mirovina |
|
|
0321 |
Mirovine koje podliježu obvezi dodatnog doprinosa za zdravstveno osiguranje iz mirovina |
|
|
0322 |
Mirovine koje podliježu obvezi dodatnog doprinosa za zdravstveno osiguranje iz mirovina, a koja se isplaćuje za više proteklih mjeseci istoga poreznog razdoblja (iste kalendarske godine) |
|
|
0323 |
Mirovine koje podliježu obvezi dodatnog doprinosa za zdravstveno osiguranje iz mirovina, a koje se isplaćuju za protekla porezna razdoblja (kalendarske godine) |
|
|
0331-0339 |
Mirovine koje isplaćuju ostali isplatitelji |
|
|
0331 |
Mirovine ostvarene na temelju individualne kapitalizirane štednje koje isplaćuju mirovinska osiguravajuća društva |
|
|
0332 |
Mirovine ostvarene temeljem dokupa |
|
|
0333 |
Mirovinske rente |
|
|
0334 |
Mirovine ostvarene po ostaloj osnovi |
|
|
0401-0499 |
Ostali primici od nesamostalnog rada |
|
|
0401 |
Primici po osnovi nesamostalnog rada iz članka 114. stavka 1. Zakona o doprinosima koji se isplaćuju bivšem radniku ili drugoj osobi umjesto bivšeg radnika |
|
|
0402 |
Primici iz članka 114. stavka 2. Zakona o doprinosima od kojih se prema propisima o porezu na dohodak utvrđuje dohodak od nesamostalnog rada, a prema propisima o doprinosima drugi dohodak |
|
|
0403 |
Ostali primici po osnovi nesamostalnog rada |
|
|
0404 |
Ostali primici po osnovi nesamostalnog rada koji ne podliježu obvezi doprinosa |
|
|
0405 |
Obračun doprinosa prema primicima od kojih se prema propisima o porezu na dohodak utvrđuje dohodak od nesamostalnog rada, a prema propisima o doprinosima drugi dohodak |
|
|
0406 |
Obveze po konačnom godišnjem obračunu poreza na dohodak i prireza porezu na dohodak po osnovi dohotka od nesamostalnog rada |
|
|
0407 |
Primici po osnovi nesamostalnog rada iz članka 114. stavka 1. Zakona o doprinosima koji se isplaćuju bivšem radniku ili drugoj osobi umjesto bivšeg radnika, a koja je viša od najviše godišnje osnovice |
|
|
0408 |
Primici iz članka 114. stavka 2. Zakona o doprinosima od kojih se prema propisima o porezu na dohodak utvrđuje dohodak od nesamostalnog rada, a prema propisima o doprinosima drugi dohodak, a koja je viša od najviše godišnje osnovice |
|
|
0409 |
Primici po osnovi nesamostalnog rada iz članka 114. stavka 1. Zakona o doprinosima koji se isplaćuju u obliku rente koju bivši poslodavac isplaćuje po sudskoj presudi članu obitelji bivšeg radnika, te po osnovi tih primitaka ne postoji obveza doprinosa |
|
|
0410 |
Primici po osnovi nesamostalnog rada iz članka 114. stavka 1. Zakona o doprinosima koji se isplaćuju umirovljenom bivšem radniku ili drugoj umirovljenoj osobi umjesto bivšeg radnika |
|
|
0411 |
Porez na dohodak po osnovi nesamostalnog rada iz članka 114. stavka 1. Zakona o doprinosima koji se isplaćuju bivšem radniku ili drugoj osobi umjesto bivšeg radnika |
|
|
0412 |
Primici iz članka 114. stavka 2. Zakona o doprinosima od kojih se prema propisima o porezu na dohodak utvrđuje dohodak od nesamostalnog rada, a prema propisima o doprinosima drugi dohodak prema kojima ne postoji obveza doprinosa na osnovicu |
|
|
0413 |
Primici iz članka 114. stavka 2. Zakona o doprinosima od kojih se prema propisima o porezu na dohodak utvrđuje dohodak od nesamostalnog rada, a prema propisima o doprinosima drugi dohodak prema kojima ne postoji obveza doprinosa na osnovicu, a koji su viši od najviše godišnje osnovice |
|
|
0414 |
Porez na dohodak po osnovi nesamostalnog rada iz članka 212. stavka 2. Zakona o doprinosima koji se isplaćuju nasljedniku |
|
|
0415 |
Obračun doprinosa po osnovi plaće u slučaju iz članka 212. stavak 2. Zakona o doprinosima |
|
|
0416 |
Obračun doprinosa po osnovi plaće u slučaju iz članka 212. stavak 2. Zakona o doprinosima, a koja je viša od najviše mjesečne osnovice za obračun doprinosa |
|
|
0417 |
Obračun doprinosa po osnovi plaće u slučaju iz članka 212. stavak 2. Zakona o doprinosima, a koja je viša od najviše godišnje osnovice za obračun doprinosa |
|
|
0418 |
Obračun doprinosa po osnovi ostalih primitaka koji se isplaćuju uz plaću u slučaju iz članka 212. stavak 2. Zakona o doprinosima |
|
|
0419 |
Obračun doprinosa po osnovi ostalih primitaka koji se isplaćuju uz plaću u slučaju iz članka 212. stavak 2. Zakona o doprinosima, a koja je viša od najviše godišnje osnovice za obračun doprinosa |
|
|
0501-0539 |
Obveze doprinosa po osnovi rada u drugoj državi članici Europske unije za poslodavca iz druge države članice Europske unije ili sa sjedištem u drugoj državi članaici Europske unije |
|
|
0501 |
Obračun poreza na dohodak po osnovi plaće za mjesec dana rada u drugoj državi članici Europske unije za poslodavca iz druge države članice Europske unije ili sa sjedištem u drugoj državi članici Europske unije odnosno rad za tuzemnog poslodavca kada se doprinosi plaćaju u drugoj državi članici Europske unije |
|
|
0502 |
Obračun doprinosa po osnovi plaće za mjesec dana rada u drugoj državi članici Europske unije za poslodavca iz druge države članice Europske unije ili sa sjedištem u drugoj državi članici Europske unije |
|
|
0503 |
Obračun doprinosa po osnovi plaće za mjesec dana rada u drugoj državi članici Europske unije za poslodavca iz druge države članice Europske unije ili sa sjedištem u drugoj državi članici Europske unije koja je viša od najviše mjesečne osnovice |
|
|
0504 |
Obračun doprinosa po osnovi plaće za mjesec dana rada u drugoj državi članici Europske unije za poslodavca iz druge države članice Europske unije ili sa sjedištem u drugoj državi članici Europske unije, a koja je viša od najviše godišnje osnovice |
|
|
0505 |
Obračun doprinosa po osnovi ostalih primitaka za rad u drugoj državi članici Europske unije za poslodavca iz druge države članice Europske unije ili sa sjedištem u drugoj državi članici Europske unije |
|
|
PRIMICI OD KAPITALA |
||
|
1001-1099 |
Primici od kojih se utvrđuje dohodak od kapitala |
|
|
1001 |
Primici od kojih se utvrđuje dohodak od kapitala po osnovi dividendi i udjela u dobiti na temelju udjela u kapitalu |
|
|
1002 |
Primici od kojih se utvrđuje dohodak od kapitala po osnovi izuzimanja i korištenja usluga članova trgovačkih društava za privatne potrebe (skrivene isplate dobiti) te izuzimanja fizičkih osoba koje obavljaju samostalnu djelatnost od koje se plaća porez na dobit |
|
|
1003 |
Primici u naravi od kojih se utvrđuje dohodak od kapitala po osnovi udjela u dobiti članova uprave i radnika trgovačkih društava koje ostvaruju putem dodjele ili opcijske kupnje vlastitih dionica |
|
|
1004 |
Primici od kojih se utvrđuje dohodak od kapitala po osnovi kamata na štednju |
|
|
1005 |
Ostali primici od kapitala (uključujući i dohodak od kapitala po osnovi kamata osim kamata na štednju) |
|
|
1006 |
Primici od kojih se utvrđuje dohodak od kapitala po osnovi kapitalnih |
|
|
PRIMICI OD IMOVINSKIH PRAVA |
||
|
2001-2099 |
Primici od kojih se utvrđuje dohodak od imovinskih prava |
|
|
2001 |
Primici od kojih se utvrđuje dohodak od imovinskih prava |
|
|
2002 |
Primici od kojih se utvrđuje dohodak od posebnih vrsta imovine |
|
|
PRIMICI OD OSIGURANJA |
||
|
3001-3099 |
Primici od kojih se utvrđuje dohodak od osiguranja |
|
|
3001 |
Primici od kojih se utvrđuje dohodak od osiguranja po osnovi dobrovoljnog mirovinskog osiguranja |
|
|
3002 |
Primici od kojih se utvrđuje dohodak od osiguranja po osnovi životnog osiguranja s obilježjem štednje |
|
|
PRIMICI OD KOJIH SE UTVRĐUJE DRUGI DOHODAK |
||
|
4001-4099 |
Primici od kojih se utvrđuje drugi dohodak |
|
|
4001 |
Primici od autorskih naknada isplaćenih prema posebnom zakonu kojim se uređuju autorska i srodna prava |
|
|
4002 |
Primici po osnovi naknada za isporučeno umjetničko djelo osobama koje obavljaju umjetničku i kulturnu djelatnost |
|
|
4003 |
Primici po osnovi naknada profesionalnih djelatnosti novinara, umjetnika i sportaša koji su osigurani po toj osnovi i doprinose za obvezna osiguranja plaćaju prema rješenju |
|
|
4004 |
Primici nerezidenata za obavljanje umjetničke, artističke, zabavne, sportske, književne i likovne djelatnosti te djelatnosti u svezi s tiskom, radijem i televizijom te zabavnim priredbama po osnovi kojih postoji obveza doprinosa |
|
|
4005 |
Primici nerezidenata za obavljanje umjetničke, artističke, zabavne, sportske, književne i likovne djelatnosti te djelatnosti u svezi s tiskom, radijem i televizijom te zabavnim priredbama po osnovi kojih postoji obveza doprinosa, koji su viši od najviše godišnje osnovice za obračun doprinosa |
|
|
4006 |
Primici nerezidenata za obavljanje umjetničke, artističke, zabavne, sportske, književne i likovne djelatnosti te djelatnosti u svezi s tiskom, radijem i televizijom te zabavnim priredbama po osnovi kojih ne postoji obveza doprinosa |
|
|
4007 |
Primici po osnovi djelatnosti sportaša (koji nisu osigurani po osnovi samostalne djelatnosti sportaša) |
|
|
4008 |
Primici po osnovi djelatnosti sportaša (koji nisu osigurani po osnovi samostalne djelatnosti sportaša) koji su viši od najviše godišnje osnovice za obračun doprinosa |
|
|
4010 |
Primici po osnovi djelatnosti trgovačkih putnika, agenta, akvizitera, tumača, prevoditelja, turističkih djelatnika, konzultanata, sudskih vještaka te druge slične djelatnosti |
|
|
4011 |
Primici po osnovi djelatnosti trgovačkih putnika, agenta, akvizitera, tumača, prevoditelja, turističkih djelatnika, konzultanata, sudskih vještaka te druge slične djelatnosti, koji su viši od najviše godišnje osnovice za obračun doprinosa |
|
|
4013 |
Primici po osnovi djelatnosti sportskih sudaca i delegata |
|
|
4014 |
Primici po osnovi djelatnosti članova skupština i nadzornih odbora trgovačkih društava, upravnih odbora, upravnih vijeća i drugih njima odgovarajućih tijela drugih pravnih osoba, članova povjerenstava i odbora koje imaju ta tijela i sudaca porotnika koji nemaju svojstvo djelatnika u sudu |
|
|
4015 |
Primici po osnovi djelatnosti članova skupština i nadzornih odbora trgovačkih društava, upravnih odbora, upravnih vijeća i drugih njima odgovarajućih tijela drugih pravnih osoba, članova povjerenstava i odbora koje imaju ta tijela i sudaca porotnika koji nemaju svojstvo djelatnika u sudu, koji su viši od najviše godišnje osnovice za obračun doprinosa |
|
|
4017 |
Primici u naravi – korištenje zgrada, prometnih sredstava, povoljnije kamate pri odobravanju kredita i druge pogodnosti prema članku 14. stavku 3. Zakona o porezu na dohodak, a koje davatelji tih primitaka daju fizičkim osobama koje nisu njihovi radnici i osobe koje ostvaruju primitke iz članka 14. toga Zakona |
|
|
4018 |
Primici u naravi – korištenje zgrada, prometnih sredstava, povoljnije kamate pri odobravanju kredita i druge pogodnosti prema članku 14. stavku 3. Zakona o porezu na dohodak, a koje davatelji tih primitaka daju fizičkim osobama koje nisu njihovi radnici i osobe koje ostvaruju primitke iz članka 14. toga Zakona, koji su viši od najviše godišnje osnovice za obračun doprinosa |
|
|
4020 |
Nagrade učenicima za vrijeme praktičnog rada i naukovanja, iznad propisanog iznosa |
|
|
4021 |
Stipendije učenicima i studentima za redovno školovanje na srednjim, višim i visokim školama i fakultetima, iznad propisanog iznosa, |
|
|
4022 |
Sportske stipendije koje se prema posebnim propisima isplaćuju sportašima amaterima za njihovo sportsko usavršavanje, iznad propisanog iznosa |
|
|
4023 |
Nagrade za sportska ostvarenja i naknade sportašima amaterima prema posebnim propisima, iznad propisanih iznosa |
|
|
4025 |
Primici od kojih se utvrđuje drugi dohodak, a primatelj ga ostvari neposredno iz inozemstva |
|
|
4026 |
Primici od kojih se utvrđuje drugi dohodak, a primatelj ga ostvari neposredno iz inozemstva, a koji je viši od najviše godišnje osnovice |
|
|
4028 |
Primici od kojih se utvrđuje drugi dohodak i koji bi bili podložni obvezi doprinosa da ugovorom o socijalnom osiguranju nije drugačije uređeno |
|
|
4029 |
Primici od kojih se utvrđuje drugi dohodak i koji su podložni obvezi doprinosa za zdravstveno osiguranja, a nisu podložni obvezi doprinosa za mirovinsko osiguranje sukladno ugovoru o socijalnom osiguranju |
|
|
4030 |
Ostali nenavedeni primici od kojih se utvrđuje drugi dohodak |
|
|
4031 |
Ostali primici koje fizičkim osobama isplaćuju ili daju pravne i fizičke osobe (obveznici poreza na dobit i obveznici poreza na dohodak koji obavljaju samostalne djelatnosti) i drugi isplatitelji i davatelji, a po osnovi kojih postoji i obveza doprinosa, a koji su viši od najviše godišnje osnovice |
|
|
4032 |
Ostali primici koje fizičkim osobama isplaćuju ili daju pravne i fizičke osobe (obveznici poreza na dobit i obveznici poreza na dohodak koji obavljaju samostalne djelatnosti) i drugi isplatitelji i davatelji, a po osnovi kojih ne postoji obveza doprinosa |
|
|
4033 |
Primici od kojih se utvrđuje drugi dohodak, ostvareni temeljem sezonskog rada u poljoprivredi prema Zakonu o poticanju zapošljavanja |
|
|
4034 |
Primici nerezidenata od autorskih naknada isplaćenih prema posebnom zakonu kojim se uređuju autorska i srodna prava a koji nemaju pravo na paušalni izdatak |
|
|
4035 |
Primici od kojih se utvrđuje drugi dohodak a koji se isplaćuju nerezidentima Republike Hrvatske – članovima uprave odnosno članovima drugih odgovarajućim upravljačkih tijela društva te izvršnim direktorima |
|
|
4036 |
Primici od kojih se utvrđuje drugi dohodak a koji se isplaćuju nerezidentima Republike Hrvatske – članovima uprave odnosno članovima drugih odgovarajućim upravljačkih tijela društva te izvršnim direktorima, koji su viši od najviše godišnje osnovice za obračun doprinosa |
|
|
4037 |
Primici od kojih se utvrđuje drugi dohodak a koji se isplaćuju nerezidentima Republike Hrvatske – članovima uprave odnosno članovima drugih odgovarajućim upravljačkih tijela društva te izvršnim direktorima, a prema kojima ne postoji obveza doprinosa |
|
|
4038 |
Primici po osnovi drugog dohotka koji podliježu obvezi doprinosa, a prema kojima je predujam poreza na dohodak plaćen u inozemstvu |
|
|
4039 |
Primici po osnovi drugog dohotka koji podliježu obvezi doprinosa ali su viši od najviše godišnje osnovice za obračun doprinosa, a prema kojima je predujam poreza na dohodak plaćen u inozemstvu |
|
|
4040 |
Primici po osnovi drugog dohotka koji podliježu obvezi doprinosa koji bi bili oporezivi porezom na dohodak da ugovorima o izbjegavanju dvostrukog oporezivanja nije uređeno drukčije, u slučaju kada Republika Hrvatska sukladno ugovoru o izbjegavanju dvostrukog oporezivanja izuzima te primitke od oporezivanja |
|
|
4041 |
Primici po osnovi drugog dohotka koji podliježu obvezi doprinosa, ali su viši od najviše godišnje osnovice za obračun doprinosa, a koji bi bili oporezivi porezom na dohodak da ugovorima o izbjegavanju dvostrukog oporezivanja nije uređeno drukčije, u slučaju kada Republika Hrvatska sukladno ugovoru o izbjegavanju dvostrukog oporezivanja izuzima te primitke od oporezivanja |
|
|
4042 |
Primici od kojih se utvrđuje drugi dohodak, a primatelj ga ostvari neposredno od fizičke osobe |
|
|
4043 |
Primici od kojih se utvrđuje drugi dohodak, a primatelj ga ostvari neposredno od fizičke osobe, a koji su viši od najviše godišnje osnovice |
|
|
4045 |
Primici od autorskih naknada isplaćenih prema posebnom zakonu kojim se uređuju autorska i srodna prava, a koji su viši od najviše godišnje osnovice |
|
|
4046 |
Primici po osnovi naknada za isporučeno umjetničko djelo osobama koje obavljaju umjetničku i kulturnu djelatnost, a koji su viši od najviše godišnje osnovice |
|
|
OSTALE OBVEZE DOPRINOSA I OBVEZE DOPRINOSA TEMELJEM |
||
|
5001-5009 |
Obveze posebnog doprinosa za korištenje zdravstvene zaštite u inozemstvu |
|
|
5001 |
Obveze posebnog doprinosa za korištenje zdravstvene zaštite u inozemstvu za osiguranike koji službeno borave u inozemstvu (plaća ili prosječna plaća ukoliko mu se ne isplaćuje plaća – 10% ZO INO) |
|
|
5002 |
Obveze posebnog doprinosa za korištenje zdravstvene zaštite u inozemstvu za osiguranike koji borave na službenom putu u inozemstvu (0,38 - 20% ZO INO) |
|
|
5003 |
Obveze posebnog doprinosa za korištenje zdravstvene zaštite u inozemstvu za osiguranike po osnovi primitka od kojih se utvrđuje drugi dohodak koji borave na službenom putu u inozemstvu (0,38 - 20% ZO INO) |
|
|
5004 |
Obveze posebnog doprinosa za korištenje zdravstvene zaštite u inozemstvu za osiguranika po osnovi obavljanja samostalnih djelatnosti koji boravi na službenom putu u inozemstvu (0,38 - 20% ZO INO) |
|
|
5005 |
Obveze posebnog doprinosa za korištenje zdravstvene zaštite u inozemstvu za osiguranika po osnovi obavljanja samostalnih djelatnosti – izaslanog na rad u inozemstvo (0,38 – 20% ZO INO) |
|
|
5101-5729 |
Obveze po osnovi naknade plaće, prava iz osiguranja koji se financiraju na teret nositelja osiguranja ili državnog proračuna i obveze prema osiguranju u određenim okolnostima |
|
|
5101 |
Obveze poreza na dohodak i prireza porezu na dohodak te doprinosa za osiguranike po osnovi njegovatelja HRVI |
|
|
5102 |
Obveze doprinosa za osiguranike po osnovi roditelja – njegovatelja |
|
|
5103 |
Obveza doprinosa za osiguranike po osnovi slobodnog zanimanja – samostalnih umjetnika |
|
|
5104 |
Primici učenika i redovitih studenata za vrijeme rada preko posrednika pri zapošljavanju iznad propisanih iznosa, odnosno obveza doprinosa učenika i redovitih studenata za vrijeme rada preko posrednika pri zapošljavanju |
|
|
5105 |
Obveza doprinosa za osiguranike za koje se obveza doprinosa izračunava primjenom doprinosa za mirovinsko osiguranje na temelju generacijske solidarnosti i doprinosa za mirovinsko osiguranje na temelju individualne kapitalizirane štednje na najnižu osnovicu za obračun doprinosa |
|
|
5106 |
Obveza doprinosa za osiguranike za koje se obveza doprinosa izračunava primjenom doprinosa za mirovinsko osiguranje na temelju individualne kapitalizirane štednje na najnižu osnovicu za obračun doprinosa |
|
|
5107 |
Obveza doprinosa za osiguranike za koje se obveza doprinosa izračunava primjenom doprinosa za mirovinsko osiguranje na temelju individualne kapitalizirane štednje na naknadu plaće |
|
|
5108 |
Obveza doprinos za mirovinsko osiguranje u određenim okolnostima i posebnog doprinosa za zaštitu zdravlja na radu na minimalnu osnovicu za obračun |
|
|
5109 |
Obveza doprinosa za zdravstveno osiguranje na najnižu osnovicu za obračun doprinosa |
|
|
5110 |
Obveza mirovinskog osiguranja u određenim okolnostima i zdravstvenog osiguranja zaštite zdravlja na radu za slučaj ozljede na radu i profesionalne bolesti najnižu osnovicu za obračun doprinosa |
|
|
5111 |
Obveze doprinosa za mirovinsko osiguranje na temelju individualne kapitalizirane štednje za osiguranika – osobu s invaliditetom kojoj se staž mirovinskog osiguranja računa s povećanim trajanjem |
|
|
5112 |
Obveze doprinosa za osiguranike bračne drugove profesionalnog odnosno ugovornog diplomata i članove obitelji profesionalnog odnosno ugovornog diplomata |
|
|
5701-5719 |
Obveze po osnovi stručnog osposobljavanja za rad bez zasnivanja radnog odnosa |
|
|
5701 |
Obveze po osnovi stručnog osposobljavanja za rad bez zasnivanja radnog odnosa za mjesec dana rada |
|
|
5702 |
Obveze po osnovi stručnog osposobljavanja za rad bez zasnivanja radnog odnosa za mjesec dana rada – osobi koja se prvi put zapošljava – prema Zakonu o doprinosima |
|
|
5703 |
Obveze po osnovi stručnog osposobljavanja za rad bez zasnivanja radnog odnosa za mjesec dana rada – osobi koja se prvi put zapošljava – prema Zakonu o poticanju zapošljavanja |
|
|
5721-5729 |
Obveze za kamate |
|
|
5721 |
Naplaćena kamata za doprinose za mirovinsko osiguranje na temelju individualne kapitalizirane štednje zbog nepravovremene uplate dospjele obveze |
|
|
5800-5900 |
Obveze doprinosa po osnovi obavljanja samostalne djelatnosti koji od obavljanja tih djelatnosti, sukladno propisima o porezu na dohodak, utvrđuju dohodak od samostalne djelatnosti |
|
|
5801 |
Obveza doprinosa prema propisanoj osnovici za obračun doprinosa |
|
|
5802 |
Obveza doprinosa prema izabranoj višoj osnovici za obračun doprinosa (koeficijent 1) |
|
|
5803 |
Obveza doprinosa prema izabranoj višoj osnovici za obračun doprinosa (koeficijent 2) |
|
|
5804 |
Obveza doprinosa prema izabranoj višoj osnovici za obračun doprinosa (koeficijent 3) |
|
|
5805 |
Obveza doprinosa prema izabranoj višoj osnovici za obračun doprinosa (koeficijent 4) |
|
|
5806 |
Obveza doprinosa prema izabranoj višoj osnovici za obračun doprinosa (koeficijent 5) |
|
|
5807 |
Obveza doprinosa prema izabranoj višoj osnovici za obračun doprinosa (koeficijent 6) |
|
PRILOG 4.
|
Oznaka |
4. Neoporezivi primici/primici koji se ne smatraju dohotkom |
|
01 |
Primici od kamata po obveznicama koji su obračunati nakon 1. siječnja 2015. i primici po osnovi osiguranja |
|
02 |
Primici po osnovi kapitalnih dobitaka od otuđenja financijske imovine ako to nije djelatnost poreznog obveznika stečene prije 1. siječnja 2016. godine i primici po osnovi otkupa udjela u Fondu hrvatskih branitelja iz domovinskog rata i članova njihovih obitelji |
|
03 |
Novčani dodaci uz mirovinu koje umirovljenicima isplaćuju jedinice lokalne i područne (regionalne) samouprave, na temelju svojih općih akata i za koje su sredstva planirana u proračunima tih jedinica, te jednokratni novčani dodaci koji se isplaćuju uz mirovine na temelju Odluke Vlade Republike Hrvatske ili na temelju posebnog propisa |
|
04 |
Obiteljske mirovine i invalidnine koje djeca ostvaruju nakon smrti roditelja prema zakonu kojim se uređuje mirovinsko osiguranje i zakonu kojim se uređuju prava hrvatskih branitelja iz Domovinskog rata i članova njihovih obitelji |
|
07 |
Socijalne potpore |
|
08 |
Doplatak za djecu i novčani primici za opremu novorođenog djeteta i primici po osnovi potpora za novorođenče, odnosno potpora za opremu novorođenog djeteta koje isplaćuju ili daju jedinice lokalne i područne (regionalne) samouprave, na temelju svojih općih akata i za koje su sredstva planirana u proračunima tih jedinica |
|
09 |
Potpore zbog zbrinjavanja ratnih invalida i članova obitelji smrtno stradalih, zatočenih ili nestalih hrvatskih branitelja iz Domovinskog rata porezu na dohodak), te primici osoba s invaliditetom, osim plaća i mirovina |
|
10 |
Potpore koje djeci u slučaju smrti roditelja isplaćuju ili daju jedinice lokalne i područne (regionalne) samouprave na temelju svojih općih akata te pravne i fizičke osobe |
|
11 |
Naknada razlike plaće za vrijeme vojne službe u Oružanim snagama Republike Hrvatske, naknada plaće pripadnicima civilne zaštite i drugim osobama za djelatnost u okviru civilne zaštite i zaštite od elementarnih nepogoda, te naknade i nagrade koje osuđene osobe primaju za rad u kazneno-popravnim ustanovama i domovima za preodgoj |
|
12 |
Naknada plaće za vrijeme spriječenosti za rad isplaćena na teret sredstava obveznih osiguranja |
|
13 |
Nagrade učenicima za vrijeme praktičnog rada i naukovanja, do propisanog iznosa |
|
15 |
Primici učenika i studenata na redovnom školovanju za rad preko učeničkih i studentskih udruga, po posebnim propisima, do propisanog iznosa |
|
16 |
Naknade štete zbog posljedica nesreće na radu prema odluci suda ili nagodbi u tijeku sudskog postupka, ako je naknada određena u jednokratnom iznosu i zatezne kamate isplaćene temeljem plaće ili mirovine po sudskoj presudi |
|
17 |
Dnevnice za službena putovanja i naknade za korištenje privatnog automobila u službene svrhe, do propisanog iznosa isplaćene po osnovi službenih putovanja |
|
18 |
Naknade za korištenje privatnog automobila u službene svrhe, do propisanog iznosa |
|
19 |
Naknade troškova prijevoza na posao i s posla mjesnim i međumjesnim javnim prijevozom |
|
20 |
Potpore zbog invalidnosti radnika do propisanog iznosa, potpore za slučaj smrti radnika, potpore u slučaju smrti člana uže obitelji radnika, do propisanog iznosa, potpore zbog neprekidnog bolovanja radnika dužeg od 90 dana, do propisanog iznosa |
|
21 |
Dar djetetu do 15 godina starosti, do propisanog iznosa i potpore za novorođenče, do propisanog iznosa |
|
22 |
Prigodne nagrade, do propisanog iznosa (božićnica, naknada za godišnji odmor i sl.) za tekuće porezno razdoblje |
|
23 |
Dnevnica za rad na terenu, do propisanog iznosa |
|
24 |
Pomorski dodatak, do propisanog iznosa |
|
25 |
Naknade za odvojeni život od obitelji, do propisanog iznosa |
|
26 |
Otpremnine, do propisanog iznosa |
|
28 |
Stipendije i potpora djetetu za školovanje do 15. godine života odnosno do završetka osnovnoškolskog obrazovanja, ukupno do propisanog iznosa |
|
29 |
Nagrade za sportska ostvarenja i naknade sportašima amaterima prema posebnim propisima, do propisanih iznosa |
|
30 |
Pomoći i potpore koje neprofitne organizacije isplaćuju svim svojim članovima pod istim uvjetima iz sredstava prikupljenih članarinama koja nisu ostvarena obavljanjem djelatnosti koja podliježe obvezi plaćanja poreza na dobit, a temeljem statuta i odluka nadležnih tijela neprofitnih organizacija, uz uvjet da se za isplaćene primitke ne traži niti ne daje protučinidba odnosno da se ne radi o primicima iz članka 5. Zakona o porezu na dohodak |
|
31 |
Primici koji se kao bespovratna sredstva isplaćuju iz fondova i programa Europske unije putem tijela akreditiranih u skladu s pravilima Europske komisije u Republici Hrvatskoj za provedbu aktivnosti mobilnosti u okviru programa i fondova Europske unije, a u svrhe obrazovanja i stručnog usavršavanja |
|
32 |
Primici koje isplaćuje Hrvatski zavod za mirovinsko osiguranje, a koji se ne smatraju primicima od nesamostalnog rada |
|
34 |
Primici po osnovi dividendi i udjela u dobiti iskorišteni za uvećanje temeljnog kapitala društva |
|
35 |
Obiteljske mirovine odnosno novčane naknade u visini obiteljske mirovine ostvarene prema Zakonu o pravima hrvatskih branitelja iz Domovinskog rata i članova njihovih obitelji |
|
38 |
Primici fizičkih osoba po osnovi izravnih plaćanja u poljoprivredi sukladno posebnim propisima po osnovi kojih se ne utvrđuje dohodak od samostalne djelatnosti |
|
40 |
Povrat isplaćene naknade plaće za vrijeme spriječenosti za rad isplaćena na teret sredstava obveznih osiguranja kojega vrši nositelj osiguranja isplatitelju naknade |
|
41 |
Ostale nenavedene naknade plaća koje se isplaćuju na teret državnog proračuna ili na teret sredstava obveznog osiguranja |
|
42 |
Primici po osnovi dividendi i udjela u dobiti koji ne podliježu oporezivanju |
|
52 |
Dnevnice za službena putovanja i naknade za korištenje privatnog automobila u službene svrhe, do propisanog iznosa isplaćene po osnovi službenih putovanja fizičkim osobama koje u neprofitnim organizacijama ne ostvaruju primitke po osnovi nesamostalnog rada odnosno primitke od kojih se utvrđuje drugi dohodak |
|
54 |
Novčana pomoć polaznicima stručnog osposobljavanja za rad bez zasnivanja radnog odnosa |
|
55 |
Primici u visini razlike između primljenih bespovratnih sredstava isplaćenih iz fondova Europske unije i državnog proračuna Republike Hrvatske za provedbu mjere trajne obustave ribolovne aktivnosti uz uništenje plovila i knjigovodstvene vrijednosti tog plovila |
|
56 |
Športske stipendije, do propisanog iznosa |
|
57 |
Primici po osnovi mirovina koje HZMO isplaćuju nerezidentima Republike Hrvatske, a koji bi bili oporezivi porezom na dohodak da ugovorima o izbjegavanju dvostrukog oporezivanja nije uređeno drukčije |
|
58 |
Primici koji se smatraju neoporezivim primicima/primicima prema kojima se ne utvrđuju doprinosi prema posebnim propisima |
|
59 |
Obračunani porez na dohodak koji se iskazuje kod naknadne isplate plaće/ostalog primitka uz plaću |
|
60 |
Nagrade radnicima za navršene godine staža, do propisanih iznosa |
|
61 |
Prigodne nagrade, do propisanog iznosa (božićnica, naknada za godišnji odmor i sl.) za prethodna porezna razdoblja (naknadne isplate) |
PRILOG 5.
|
5. Način isplate/izvršenja obveze |
|
|
Oznaka |
Opis |
|
0 |
Nema isplate |
|
1 |
Isplata na tekući račun |
|
2 |
Isplata na žiro-račun |
|
3 |
Ostale bezgotovinske isplate na račune sukladno posebnim propisima |
|
4 |
Isplata u gotovini |
|
5 |
Davanje u naravi |
|
6 |
Naplata primitka u ovršnom postupku |
|
7 |
Isplate putem obračunskih plaćanja |